AmmoniteNH3

729 posts

AmmoniteNH3 banner
AmmoniteNH3

AmmoniteNH3

@ammonitenh3

大分 | 高2 | OMC🩵1541 | AtCoder(引退)💚1116 | 暗算十段 | 将棋2級 | ‘25JJMOho | ‘25PCK決勝 | '26JMOho | OMC/AtCoder : ammonitenh3

大分 Katılım Ağustos 2024
239 Takip Edilen346 Takipçiler
AmmoniteNH3
AmmoniteNH3@ammonitenh3·
#OMC282 A~C3完72位 まけ A (2,4,5,6)をだす B 4個が4個 C 荷物2000から考える,結構好き D 解説ちょっと見たけど面白そう,自力では解けません
日本語
0
0
12
360
AmmoniteNH3
AmmoniteNH3@ammonitenh3·
Dわからん
日本語
0
0
5
80
AmmoniteNH3
AmmoniteNH3@ammonitenh3·
@Kaiser_2921 左手派やねん あと握りすぎは良くないんやで
日本語
0
0
3
116
Kaiser_2921
Kaiser_2921@Kaiser_2921·
@ammonitenh3 男子高校生なら右手は鍛えてるんじゃないのか
日本語
1
0
4
397
AmmoniteNH3
AmmoniteNH3@ammonitenh3·
握力を測ったら右27,左25で終わった 仮にも高校生男子のはずなのに、、、
日本語
1
0
14
1.6K
AmmoniteNH3
AmmoniteNH3@ammonitenh3·
17歳になりました
AmmoniteNH3 tweet media
日本語
5
0
47
1.2K
AmmoniteNH3
AmmoniteNH3@ammonitenh3·
やはり受験界隈はピキりすぎ
日本語
0
0
9
208
AmmoniteNH3
AmmoniteNH3@ammonitenh3·
流石に順位表あかんやろ
日本語
0
0
5
195
AmmoniteNH3
AmmoniteNH3@ammonitenh3·
今日の4eは問題鑑賞を楽しもう
日本語
0
0
6
198
AmmoniteNH3 retweetledi
【公式】PILAME杯
【公式】PILAME杯@pilamecup·
高校生を主な対象としたチーム戦形式の数学コンテスト「PILAME杯2026」を開催いたします。今回で第3回となります。 ・日程 予選:6月21日(日) 14:00~17:00 決勝:8月10日(月)・11日(火祝) ・参加費 無料 ※決勝の宿泊費も運営が全額負担いたします。 その他の詳細は近日中にHP等で公開いたします。
日本語
0
72
173
27.2K
AmmoniteNH3
AmmoniteNH3@ammonitenh3·
@SuzukaSumiishi @c31OFpQHht3493 私が言いたいのは、a^2-b^2と2abが実数ということさえ書いておけば「複素数の相当より」という文言を書く必要がないということです.
日本語
1
0
1
243
鈴霞イシ@定期的に投稿再開します!!!
@c31OFpQHht3493 @ammonitenh3 わかりました。 a+bi=c'+d'i ⇆a=c'かつb=d' 結果として正しいですが、入試で自明として良いかは難しいです。例えば、 a+b√2=c'+d'i√2⇆a=c'かつb=d' これを自明とするのは大学によって減点対象です。さらに s→a+t→b= s'→a+t'→b ⇆s=s'かつt=t' を自明とするのは、以下採点対象外です。
日本語
1
0
0
237
AmmoniteNH3
AmmoniteNH3@ammonitenh3·
「複素数の相等より」と書く必要性が分からない.
日本語
10
7
204
95.5K
AmmoniteNH3
AmmoniteNH3@ammonitenh3·
日本代表◎
日本語
0
0
8
732
AmmoniteNH3
AmmoniteNH3@ammonitenh3·
立体の共有部分の体積を出すとき,最も簡単な文字を固定すると勘違いしていてずっと無駄な時間を過ごしていた
日本語
0
0
5
458
AmmoniteNH3
AmmoniteNH3@ammonitenh3·
こういう問題で2<e<3を無断で使うことは許されるのだろうか
AmmoniteNH3 tweet media
日本語
0
0
5
439
AmmoniteNH3
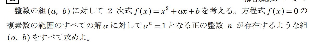
AmmoniteNH3@ammonitenh3·
これって日本語的に∃n∀αとも∀α∃nとも捉えられるくないですか?
AmmoniteNH3 tweet media
日本語
2
1
16
2.9K