Sabitlenmiş Tweet

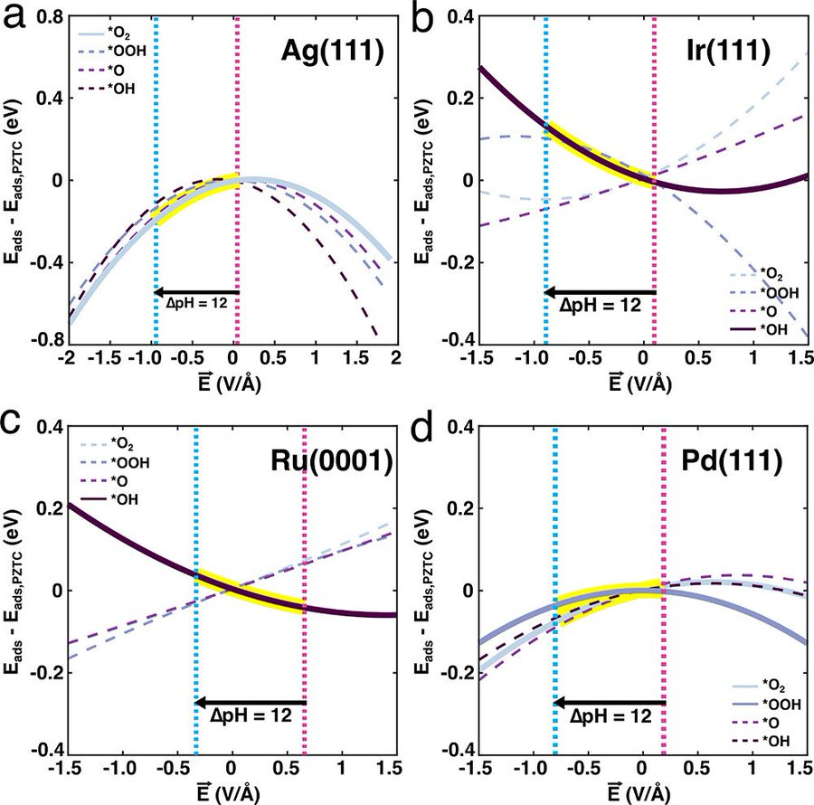
Happy to share my last research contribution from my #PhD guided by @JoaquinResasco and
@DeliaMilliron published in
@ACSEnergyLett! When will we observe cation effects in electrocatalysis? Let's go! 👇🏼 (1/n)
doi.org/10.1021/acsene…
English







