Bley Mingus
14.9K posts


@afneil Oh dear! TDS
When was the last time war footing plans were provided to journalists?
His objectives are well known.
Read the art of the deal! It offers clues as to whom the man is and how he strategies to achieve an objective.
English

ANDREW NEIL: the scary truth is Trump doesn’t know what to do next in the Iran war
mol.im/a/15704931
English

@LutherW86388231 @afneil @POTUS You seriously think Trump is not in cognitive decline?
You are sipping too much Coke
English

@McFaul Shut up.
You keep repeating the words "looks like" and "negotiate" and then another bridge or structure gets bombed to hell by the USA. You don't know what you are talking about. You don't know Trump.
Stick with your sycophant pandering of the Zelensky regime.
English

It looks like Trump is going to try to negotiate a deal with the same brutal dictatorship that he originally attacked & criticized.
That will be a short-term victory for the autocrats.
Hopefully, the lingering negative economic consequences of the war and their bad economic policies will make it impossible for them to govern.
That's just a hope, though. And hard to predict how long the long term will be.
English

@charlesmurray @monacharen Trump is in cognitive decline, acts like a gangster, insults and threatens allies, broke alliances, started a dangerous war etc.
He soils everything around him.
English

@monacharen Well, at least you can claim prescience if you’re right. I’d be a little slower to go public with “Trump shat the bed,” but I’m a cautious guy.
English

This is not "defeatism," it's defeat. America Lost. Iran Won. Trump Shat the Bed. open.substack.com/pub/thebulwark…
English

@gmiller While I don’t agree with you about the extinction risk, I think the unnecessary provoking negative PR is real. It’s not a good look for us.
English

I hate what a lot of VCs are doing to builders and AI startups. They’re hyping up a lot of what’s either blatant fraud or not real revenue numbers and attributing it to AI.
I get it, you want your AI acceleration and 2-person 1B company narrative to stick. But in your rush to prove your investment theory correct, you’re hurting the credibility of AI companies. This is exactly what happened with crypto, and to this day we don’t have public trust when it comes to crypto.
We don’t need to turn AI into yet another one of those pump-and-dump cycles. Do your due diligence, stop pushing false narratives. We want public to trust startups coming out of valley and your false Twittter narratives are painting a target on the back of the companies.
English

I expected intense pushback from the public by now, nevermind the existential risks, not even potential job losses can galvinize people.
And the woke nor serious environmentalists do not seem worried about the insane energy use.
It seems that protest movements are controlled top down
I hope for a new memo.
English

I've never seen an industry that seems so determined to provoke a massive public backlash.
The AI industry is in a league of its own in terms of converting its own hubris into negative PR.
But, for those of us concerned about ASI extinction risk, that's on net a good thing. The current AI bubble will pop, the next AI winter will start, and it'll buy us a little more time...
English

No offense - but you do not seem able to hold 2 realities in your head at the same time.
* Progressives: (we likely agree)
- destroying the nuclear family
- Mass immigration, destroying the nation state
- Islamization
- gender ideology (i can write a book about this cancer)
- DEI (against truth, competence, de facto racist/sexist)
* Trump 2.0 (not his first term)
- ad hoc tariffs
- threatened the annexation of Greenland
- behaving and talking like a gangster from the hood
- crying like a teen girl about not having received the Nobel peace prize - taking Machado's (pathetic)
- just acting like a senile grandpa, contradiction himself every day.
- starting a war with Iran while having the intellectual capacity of a 8 year old.
- planning a grotesque library that would insult the taste of any self respecting dictator
perhaps Americans just do not have any taste
English

@bleymingus @XVanFleet @jacksonhinklle No offense, but posts like this coming from a country that has been ruined by globalist/progressive policies mean that Trump is on the right track.
Good luck pushing your skewed version of reality.
English

I share many of your sentiments, but it is time for conservatives to acknowledge the sad truth, Trump 2.0 is a disaster - he is dumb, mentally ill and a megalomaniac
You are an intelligent women, surely you can understand that there are many actors involved, China, Israel, India, Russia and Trump with dementia.

English

@jacksonhinklle Who feels the pain most from Trump’s actions in Panama, Greenland, Venezuela, Cuba, and Iran?
The answer is Beijing—it’s been behind all this “nothing” all along.
English

@NationSilico @romanhelmetguy You mean it will fall in the hands of Arab immigrants?
English

@romanhelmetguy I don't actually believe this as an intended rationale, but pretend Europeans are playing 5D chess, and are letting other places sell their resources, so the value of european reserves is worth far more in the future
English

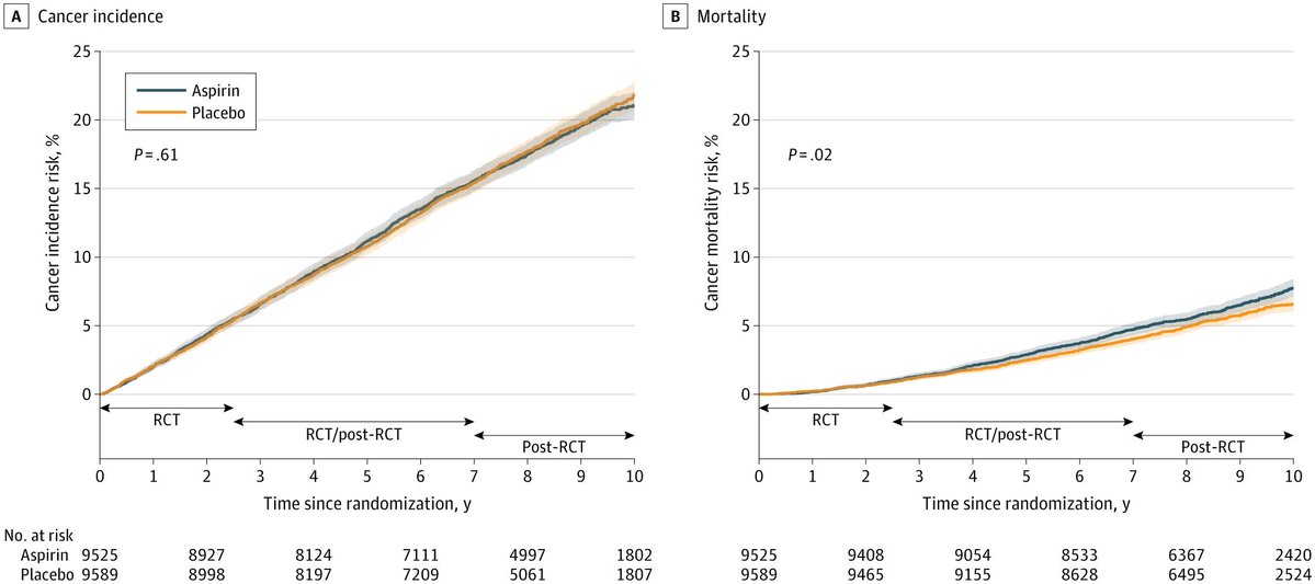
@SteveStuWill I only care about cancer rates among people below 70
English

@cremieuxrecueil It was working - until you just destroyed the placebo effect!
English

@playpusgod @GadSaad I am genuinely confused - surely you do not support Trump.
What is your objection to my tweet?
Perhaps there is a misunderstanding
English

@bleymingus @GadSaad How the fuck are you a Mingus enjoyer and on the right did you listen to the man’s music and read what he wrote and spoke or 😭
English

As we celebrate Trans Visibility Day, this clip highlights how Orange Himmler is rounding up trans people into concentration camps. #ZionismKillsTransPeople #EradicateJewsForTransRights #WomenWithPenises
English

@CollishawD @bayraktar_1love Yes, very good - if you have time you should post a weekly update!
English

@playpusgod @GadSaad I have no idea what you are talking about.
Charles Mingus would have been disgusted with Trump - and so am I
English

@JeffGremillion @AnnCoulter You should also be concerned with the imbecile in the White House
English

@AnnCoulter Nah. I prefer disarming lunatics with very deadly weapons, and also stopping them from getting very deadly weapons, rather than appeasing them and hoping 🥰🤞🏼 that everybody interprets the appeasement in the best possible way. Because I’m not a blithering idiot.
English

Isn't this obvious to everyone???
<<[Iran] was not even close to posing an imminent nuclear threat to its neighbors or the United States. Alas, in pummeling Iran inconclusively, Trump has likely heightened the nuclear threat that it will pose in future as the country’s leaders conclude that it must follow North Korea’s path.>>
-- fantastic article in the Spectator by Jacob Heilbum.
English

@aziz0nomics @YGurevitch There are perhaps other areas where the same amount of money will yield more economic and technical progress.
Your statement is not self evident.
English

I understand the curiosity, but what benefit does it offer to a mortal being?
John Aziz@aziz0nomics
Something that makes me feel both profoundly sad and profoundly angry is that for over 50 years—from 1972 to now—we basically gave up on space exploration. It's time to explore.
English


It is the extremists on left that got Trump elected, because they were allowed to dominate policy.
I think democrats who allowed this should take responsibility.
There should be a bi-partisan movement (sane americans in the centre) to get rid of Trump and push back against gender ideology and racist DEI policies.


English

@michaelshermer Funny to see you smear the left by pointing to its most insane extremes. Has Trump managed to understand how percentages work yet?
English















