Sabitlenmiş Tweet
ボビンスキだよ (3/0)
572 posts

ボビンスキだよ (3/0)
@bohbinschi
suffering in computer science (currently) and in architecture (soon)
🇵🇭 Katılım Haziran 2018
8 Takip Edilen97 Takipçiler

@bohbinschi look closely, theres purefoods, ladys choice, silver swan, san marino and cheez whiz
English

Funfact: han megumi (kana’s JP VA) is so proud of kana’s la actress (hara nanoka). One specific reason was even before onk s2 aired, she already nailed how hanmeg voice acted this scene
Even akane’s la actress said she felt the frustration bc nanoka’s acting was really good!
Mii Chan@my_mii_chan
Kana VA is actually insane (on non crying scenes too 😭)
English
ボビンスキだよ (3/0) retweetledi

赤井はあとの段階的な活動再開に関するお知らせ
平素より、当社運営のVTuber事務所「ホロライブプロダクション」および所属タレントを応援いただき、誠にありがとうございます。
この度、活動を休止しておりました赤井はあとにつきまして、本日より段階的に活動を再開する運びとなりましたことをご報告いたします。
復帰にあたっては、本人およびご家族との協議を重ね、心身の状態を最優先に考慮した上で、活動再開に向けた準備を進めることで合意いたしました。その第一歩として、まずは代理投稿による動画投稿など、無理のない範囲での活動から開始し、状況を見守ってまいります。また、SNSでの発信やライブ配信等の本格的な再開時期については、本人のコンディションを慎重に見極めながら順次検討してまいります。
活動の完全復帰までは今しばらくお時間をいただくかと存じますが、ファンの皆様におかれましては、彼女の新たな一歩を温かく見守っていただければ幸いでございます。
なお、本件に関し、タレント本人および他タレントへの直接のお問い合わせはお控えいただけますよう、重ねてお願い申し上げます。
今後とも、赤井はあとへの温かいご声援を何卒よろしくお願い申し上げます。
日本語

this just unlocked some core memories holy shit
i LOVED patapon 2 as a kid omg omg omg
Rynehardt 🐙@tinapaynarye
🫠
English

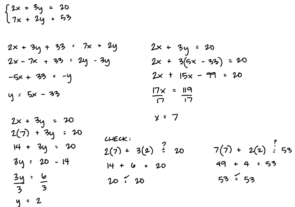
@RealThatr3d @KavehEOTD yea, forgot to show that the answer could also be sqrt x/4x
English

@KavehEOTD can i request an antidifferentiation question for the next eotd? thanksuuudfuhgfdigdigd

English





















