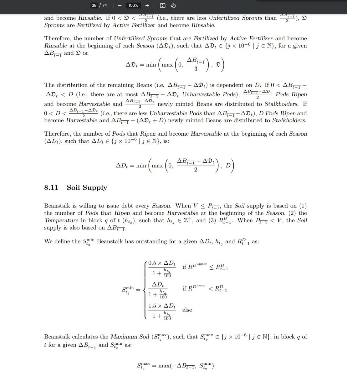
Brean🌱
1.3K posts

Brean🌱
@breanie0
little dude building @beanstalkmoney. Now @frij00



gm! 🌱 A few items: First - Seed Gauge has been successfully deployed and the UI has been updated accordingly — please see the UX Updates channel in the Beanstalk Discord for more info 👀 discord.gg/beanstalk (Note that some charts and the vAPY may not load properly until the Subgraph is back up and running shortly) Second - Hypernative is now live ⚔️ You can learn more about them at hypernative.io Third - Voting on Temp Check 4: Debt Restructuring has closed, with ~81% of respondents voting “For” and ~19% voting “Against” 🏛️ Finally - There’s still time to vote on Temp Check 5: L2 Migration (Proposed by Brean) on the Beanstalk Governance site: app.bean.money/#/governance *Bonus* - BIP-47: Adjust Quorum will likely go live for voting within the next few hours 🫡








New liquidity pools being directed by future ownership of a money printer through a dank gaugerino. Brought to you by your favorite dollar oscillating token $BEAN


1/ Introducing Basin Basin is the next step in the evolution of EVM-native DEXs, allowing for arbitrary composability amongst DEX components (pricing functions, oracles, etc.) into a single liquidity pool known as a Well.

@AtlasSowed Biggest task is going to be adoption and without a team in place it may be an uphill battle










