

CryptoSentient
2.9K posts

@cryptosentient1
Early Crypto investor. Gambler. Edge player. Join Stake or https://t.co/gScZhQB3cB and use Code CS777. $Senti Dev. Link below👇👇US PLAYERS FREE $1 Everyday

























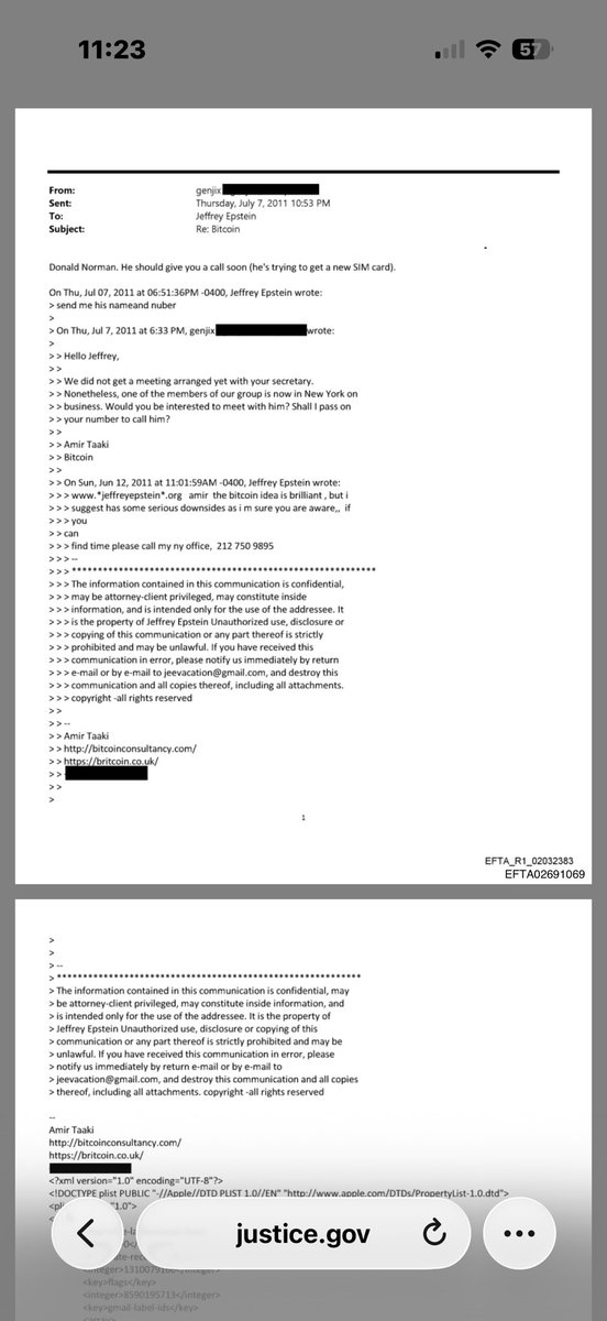
@Mrcryptoxwhale It’s not absurd. Search for yourself. justice.gov/epstein I found communications as early as 2011. He funded the development and used it. Just ask early cypherpunk @lunardragon420 Amir Taaki



JUST IN: Jeffrey Epstein had a bank account named 'Baal' and asked someone at JPMorgan to wire him over $11,000. Baal is a demonic figure and an enemy to Jesus, as written in the Holy Bible.


🚨 BREAKING: #Ethgate Exposed as Elaborate Smoke Screen – Puppet Master Epstein's Masterstroke in Diverting Eyes from Bitcoingate Bonanza! Hold onto your hardware wallets, folks! Turns out Ethgate – that juicy tale of Ethereum's regulatory romps and SEC sweethearts – was just a shiny decoy dangled by the late, great (not) Jeffrey Epstein himself. While we're all chasing Vitalik's ghosts and Gensler's gaffes, the REAL crypto corruption festering in Bitcoingate (think shadowy mining cartels, fiat-fueled frauds, and blockchain bribes) goes unchecked. Epstein, from his island of infamy, played us like cheap violins in a Ponzi symphony. We've been bamboozled, bagholders! Time to wake up and follow the Bitcoin bread crumbs before the next "gate" gates us all. #EthgateHoax #BitcoingateBombshell #EpsteinDidntKillTheDistraction




@Mrcryptoxwhale It’s not absurd. Search for yourself. justice.gov/epstein I found communications as early as 2011. He funded the development and used it. Just ask early cypherpunk @lunardragon420 Amir Taaki





@Mrcryptoxwhale It’s not absurd. Search for yourself. justice.gov/epstein I found communications as early as 2011. He funded the development and used it. Just ask early cypherpunk @lunardragon420 Amir Taaki