oOdy²⁴
718 posts

oOdy²⁴
@dinocaururs
✩°。 ⋆⸜ 🎧✮ | studytwt(?) i guess hehe
Katılım Mayıs 2020
415 Takip Edilen513 Takipçiler

helloww foodtech student !!
aku ada bikin grup YPT nih, kalian yg mau joinn bolee yaa 🙌🏻
link.yeolpumta.com/P3R5cGU9Z3JvdX…
Indonesia

@LSTRmegaputri mauu 🌻
anyway, happy bdayy ya, hope this year will better than before, semoga rezekiny lancar terus, makasi uda adain giveaway ini 💞💞
Indonesia
oOdy²⁴ retweetledi

✨ quiz kata baku
ayoo, coba tes seberapa jago kalian untuk kerjain kata baku di bawah ini
#studytwt #snbt2025 #alternatifa #utbk #quizkatabaku
Indonesia

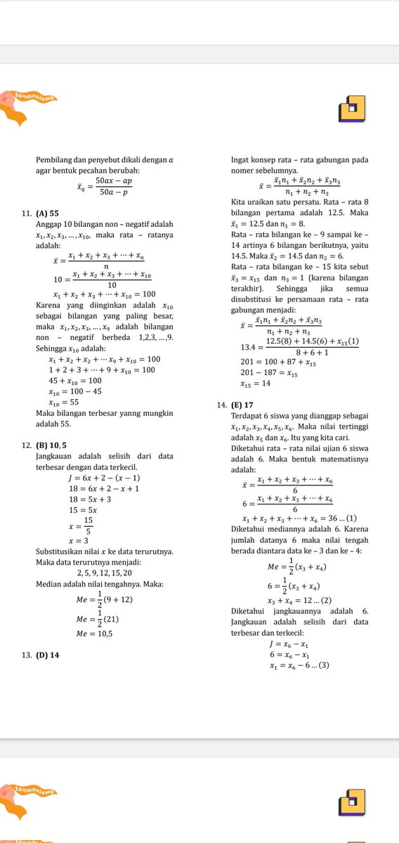
⇢ ˗ˏˋ PEMBAHASAN࿐ྂ
✎ Materi statistika
source : Alternatifa
ini untuk latihan yaaa, bookmark kalau klian perlu 🫶🏻
˚₊· ͟͟͞͞➳❥ join yuk
channel belajar aku : whatsapp.com/channel/0029Va…
#driveody #utbk #snbt2025 #alternatifa




Indonesia

⇢ ˗ˏˋ Latihan Soal UTBK࿐ྂ
✎ Materi statistika
source : Alternatifa
ini untuk latihan yaaa, bookmark kalau klian perlu 🫶🏻
˚₊· ͟͟͞͞➳❥ join yuk
channel belajar aku : whatsapp.com/channel/0029Va…
#driveody #utbk #snbt2025 #alternatifa



Indonesia









