Luke Farrow
1.4K posts

Luke Farrow
@docfarrow
Clinical Academic in T&O | Research methods / Big data / AI | SHFA | BAJIR | CSO CAF 2021-2024 | Lower Limb Arthroplasty & Trauma | Sports fan!
Aberdeen, Scotland Katılım Ağustos 2013
525 Takip Edilen716 Takipçiler

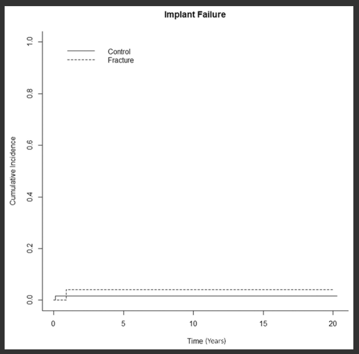
@dbab1981 @JArthroplasty Definitely appears to be a good example of publication bias….
English

Intraoperative fractures during cemented hemiarthroplasty do not contribute to an increased risk of secondary surgery, morbidity, or mortality after surgery. They also do not adversely affect radiographic outcomes postoperatively.
arthroplastyjournal.org/article/S0883-…

English
Luke Farrow retweetledi

Exciting news! The BOA AI in T&O Hub is now live!
Your go-to resource for AI in T&O & MSK, featuring:
✅Exclusive T&O in AI Conference content
✅AI articles from Orthopaedics Online and JTO
✅BOA Congress session recordings & more!
👉 Explore now: boa.ac.uk/AIHub

English

@doctorthomaschr Pretty clear from the associated BOAST that it shouldn’t be happening - boa.ac.uk/static/7ded8f0…
English

@andrewhallortho Congrats mate - amazing news. Enjoy a return to the sleepless nights 😉😴!
English

@stevemchale @drsebheaven @generalorthomd I think part of the issue is that UK training is geared towards the generalist, which is a model of practice that has largely disappeared.
There obviously still needs to be some generalist content, but a better balance towards specialism should surely be attainable nationally.
English

@drsebheaven @generalorthomd I think at the moment the UK has a long training programme that fails to prepare residents for being day 1 consultants. Either the programme should be shorter and UK fellowships should be properly structured and accredited, or the programmes should actually provide full training
English

Great @scotorth meeting today despite the challenging weather moving it online. Happy to win 2nd place prize for our work on open tibia fractures across Scottish MTC. Thanks to all the collaborators on the project!
English

@sib313 Maybe true for ED, but I would argue not true for other aspects e.g. surgical efficiency. Here there are number of factors that are relevant in estimates of operative time etc that AI could access and probably do a better job of assimilating than we currently do.
English

@docfarrow A&Es, for example, do not struggle to identify the patients who will be admitted at the point of arrival. The problem is doing anything about that knowledge that gets the admissions done in a timely way.
English
Luke Farrow retweetledi

This study provides an innovative stakeholder-led method for determining comparative priority for those awaiting primary elective hip and knee arthroplasty.
#BJJ #Arthroplasty #Patients #Surgery @docfarrow @GrahamAnderLes
ow.ly/fpkH50UAq4O

English
Luke Farrow retweetledi

Today, alongside colleagues from @QMUL and the London Major Trauma System we are launching a new study into using AI to support clinical decision-making and enhance emergency life-saving care.
The study, one of the first to evaluate the use of AI-powered decision-support tools in trauma care, will see AI-TRiPS deployed across The London Trauma System, the largest integrated trauma network in the world which serves over 10 million people.
We’re looking forward to working with our colleagues @QMUL @NHSBartsHealth @LDNairamb @Ldn_Ambulance @KingsCollegeNHS @geshNHS @ImperialNHS to assess how the system can support doctors helping seriously injured patients.
Read more about it here abdn.ac.uk/news/23983/

English
Luke Farrow retweetledi

Let's talk penalty context. Every time I post these, people are always moving the goalposts.
"All the Chiefs penalties are meaningless and don't affect anything! But every penalty called on their opponents is blatant cheating!"
Specifics vary, but it always boils down to that.
Joseph Hefner@josephjefe
Blessed by the Refs! The Vikings have the Blessing, and all others must bow before them. The Eagles and Ravens received the Curse. They must atone, or fall.
English

@AleksiReito @DrJesseMorse A classic for the armchair epidemiologist!
Also no Covid comparison group or adjustment for confounding effect of actual Covid infection….
English

@DrJesseMorse Almost none of this information is new. Also I encourage you to study the difference between absolute and relative risk.
English

🚨 PSA: A 99 MILLION PERSON COVID-19 VACCINE SIDE EFFECT TRIAL just released its data.
It’s 🤯
To say I’m enraged would be an understatement‼️
MASSIVE changes are required.
This is UNACCEPTABLE.
Share this with your loved ones.
Here’s the study: pubmed.ncbi.nlm.nih.gov/38350768/


English

@rsbadiger03 @pratikorho @InvictaOrtho @traumaticum @BestOrthoDr @hipdoc75 Is it locked statically proximally? If so I’d consider releasing, ensuring no block to screw in lateral cortex, and trying to let dynamise. Otherwise looking at a valgus osteotomy realistically.
English

38y/M, 1year post op , had ipsilateral shaft and neck fracture , shaft looks United. How to address now ?
Present complaints - Pain , unable to walk without support.
@pratikorho
@InvictaOrtho
@traumaticum
@BestOrthoDr
@hipdoc75

English

@BrianChalmersMD @stevemchale @jointdocShields @orthotraumamd @orthobullets @shaunpat1 @KPSCALnews @bethgausdenmd @ACR_MD @DrChadKrueger @PeltMD @jaimelbellamyDO @ChrisGraysonMD1 @NaanDerthaal Registry data for lifetime risk of revision in a young patient still only quoted as 40%, so 90% does seem pretty high (although appreciate in this scenario the obesity likely plays a factor).
pubmed.ncbi.nlm.nih.gov/35638212/
English

@stevemchale @jointdocShields @orthotraumamd @orthobullets @shaunpat1 @KPSCALnews @bethgausdenmd @ACR_MD @DrChadKrueger @PeltMD @jaimelbellamyDO @ChrisGraysonMD1 @NaanDerthaal Those have been our numbers @stevemchale but I think he’s meaning 90% revision rate @jointdocShields
English

Here is a new case by @shaunpat1 and @KPSCALnews.
ISOLATED MEDIAL KNEE PAIN IN 51M
How would you manage this #orthotwitter?
Vote on this case for CME: bit.ly/3BW5tUK




English


🌴 🌺 Day 2️⃣ at #OTHawaii is all about the shoulder & elbow. The day started with live physical examination pearls.

English

@BritOrthopaedic @deepamusafir1 Seems very short sighted given the potential tsunami of fragility fractures that are likely heading our way…. 🌊pubmed.ncbi.nlm.nih.gov/38160690/
English

BOA President, Mark Bowditch, was co-signatory on a letter published in the Observer on Sunday pointing out the stark implications of the Government’s decision to delay early diagnosis services for people with osteoporosis. You can read the letter here: bit.ly/4gRniU7

English

@NaanDerthaal Key thing here is that innovation is done in a safe, regulated and progressive way.
Informed consent is crucial.
It’s when these things don’t happen that we end up with disaster.
Regulations still not really able to hold people to account.
English

Can we agree now now to promote shit until there’s good long term data on it? Especially when they don’t make any sense from a mechanical standpoint?
accessdata.fda.gov/scripts/cdrh/c….
Cassandra Lee@doccasslee
Excited to offer this #shockabsorber to patients with #knee #arthritis. UC Davis Health one of first in U.S. to offer this cutting-edge tech for knee pain - CBS Sacramento @UCDavisHealth @UCDavisOrtho @Moximed cbsnews.com/sacramento/new…
English













