
drews.eth
213 posts

drews.eth
@drewsd_eth
have courage and be kind 💜operations @the100alpha🏙





✨𝑷𝒉𝒂𝒔𝒆 𝟐 𝒐𝒇 𝒕𝒉𝒆 𝑷𝒊𝒑𝒆𝒓𝑿 𝑶𝑮 𝑩𝒂𝒅𝒈𝒆 𝒊𝒔 𝑳𝑰𝑽𝑬!✨ 🚀 Phase 2 Claiming Window: ▶️ Start: 06:00 AM UTC on December 7, 2024 ▶️ End: 06:00 AM UTC on December 9, 2024 🔥 Missed Phase 1? This is YOUR time to shine! 🎉 Don’t miss out—seize your chance and join the exclusive PiperX OG community with incredible upside! ✨ Phase 1 OGs: Your badge claiming window is NOW OPEN! ✨ 🔗 Claim here: badge.piperx.xyz 🕗 Window closes at 06:00 AM UTC on November 17, 2024 – act fast! ⬇️ Secure your badge, invite friends, and level up your OG experience together. Spread the word! 🥳 #PiperX #OGBadge




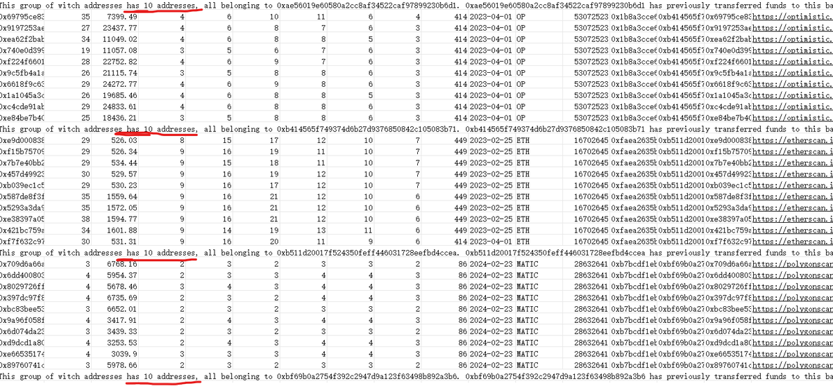
@PrimordialAA Why were all clusters with fewer than 20 addresses labeled as witches? Didn't you say that only clusters with more than 20 addresses would be counted? Aren't you keeping your word? I found my address in commonwealth.im/layerzero/disc…


@PrimordialAA Why were all clusters with fewer than 20 addresses labeled as witches? Didn't you say that only clusters with more than 20 addresses would be counted? Aren't you keeping your word? I found my address in commonwealth.im/layerzero/disc…


@PrimordialAA Why were all clusters with fewer than 20 addresses labeled as witches? Didn't you say that only clusters with more than 20 addresses would be counted? Aren't you keeping your word? I found my address in commonwealth.im/layerzero/disc…









I hope this message reaches you @PrimordialAA Here is my appeal for the accusation of me being a cluster in the newest Layerzero Bounty campaign






It is painful that these bounty hunters tagged my only organic wallet amongst wallets that I never knew existed. Cluster report1, commonwealth.im/layerzero/disc… Report2, commonwealth.im/layerzero/disc… This is my address that was tagged Sybil cluster 0x70c993f4f788554dcb2f6762a50230eeeee71636.




