Florian Egli
1.1K posts

Florian Egli
@floegli
Prof @TU_Muenchen | Researcher @ETH_EPG | Fellow @IIPP_UCL | Associate @foraus | Board @youngacademy_ch | @Monocle24 @GlobalShapers @eth_energy_blog
Zurich, Switzerland Katılım Ağustos 2016
528 Takip Edilen1.3K Takipçiler

(3) Postdoc in Green Hydrogen Financing portal.mytum.de/jobs/wissensch…
English

❗ Hiring for PhD, Postdoc and RA positions ❗
Join our new research group on Public Policy for the Green Transition at the @TU_Muenchen and @TUMThinkTank.

English
Florian Egli retweetledi

𝗖𝗮𝗹𝗹 𝗳𝗼𝗿 𝗠𝗲𝗺𝗯𝗲𝗿𝘀
The Swiss Young Academy wants to grow!
Apply now for a five-year #membership to get involved at the interface between #science and #society.
Application deadline: 29 February 2024
➡️swissyoungacademy.ch/en/mitgliedsch…

English
Florian Egli retweetledi

Interested in a stimulating project at the interface of #science🥼, #policy🧑⚖️ & #diplomacy🤝? Consider applying for an #internship with #SYNESPOD team @youngacademy_ch🇨🇭 by the end of February! Looking forward to your application and working with you.
➡️ swissyoungacademy.ch/de/uber-uns/of…
GIF
Switzerland 🇨🇭 English
Florian Egli retweetledi

Monocle on Sunday: @floegli and Marcus Schögel join Tyler Brûlé to discuss the weekend’s hottest topics. We also speak to our senior news editor in London @c_cermak, correspondents @guydelauney and @pburtsoff, and Isabella Smith of Books & Company
monocle.com/radio/shows/mo…
English
Florian Egli retweetledi

Gysi zur Einführung der Schuldenbremse 2009 #P.23363" target="_blank" rel="nofollow noopener">dserver.bundestag.de/btp/16/16215.p…

Deutsch
Florian Egli retweetledi

Monocle on Sunday: Tyler Brûlé is joined by @floegli and Marcus Schögel. We also hear from Alexis Self in London, @pburtsoff in Helsinki and @guydelauney in Belgrade.
monocle.com/radio/shows/mo…
English

Nachdem der Bundesrat die Klimakonferenz #cop nicht durchführen wollte, jetzt auch keine Biodiv Konferenz #cbdcop.
Kein Leadership, verpasste Chance für Genf als Standort int Verhandlungen.
admin.ch/gov/de/start/d…

Deutsch
Florian Egli retweetledi

"Die #Wissenschaft hat eine unglaubliche Kraft. Aber wir brauchen auch #Mut. Was wir tun, muss uns wichtiger sein als unsere Karriere. Ich bin optimistischer als früher", sagt @Dr_ThomasZ an #SustainabilityScienceForum #Dialog2030


Deutsch
Florian Egli retweetledi

Genug! Ich kann die teils hämischen und abwertenden Kommentare in den Medien über @bglaettli nicht mehr lesen. Ja, es stimmt: Nach dem historischen Wahlsieg dank dem Klimastreik gab es eine Korrektur-Klatsche auf noch respektable 9,8 Prozent. Und ja: Die Abwahl von Lisa ist ein Desaster.
Wer die Grünen besser kennt, weiss, dass Balthasar in den letzten Jahren eine schlagkräftige und professionelle Equipe mitaufgebaut hat. Wie kein Präsidium zuvor hat er die Partei auf Machtpolitik und Bundesratskurs getrimmt.
Last but not least hat er nie aus den Augen verloren, dass es für den Stopp des Klimawandels eine breite Bewegung braucht. Ohne sich selbst ins Rampenlicht zu stellen, war er deshalb von Anfang an beim Aufbau der Gletscherinitiative dabei.
Jetzt übernimmt er die alleinige Verantwortung für die Wahlen. Das entlastet die Partei und macht den Weg frei für neue Köpfe. Für mich ein homme politique, wie wir ihn in der Schweiz nur selten haben.

Deutsch

@ela_fritz @jisteinert @TU_Muenchen Congratulations! 🎉 Super excited to get more involved next year!
English
Florian Egli retweetledi

Hirschi & Kuosmanen am #SustainabilityScienceForum #Dialog2030
👉Forschende können produktive Brücken zur #Politik schlagen. Gerade für Probleme wie #Nachhaltigkeit eignet sich die Rolle. Wir müssen aber mehr als Berichte und Q&A liefern, es braucht #Hypothesen und #Experimente



Deutsch

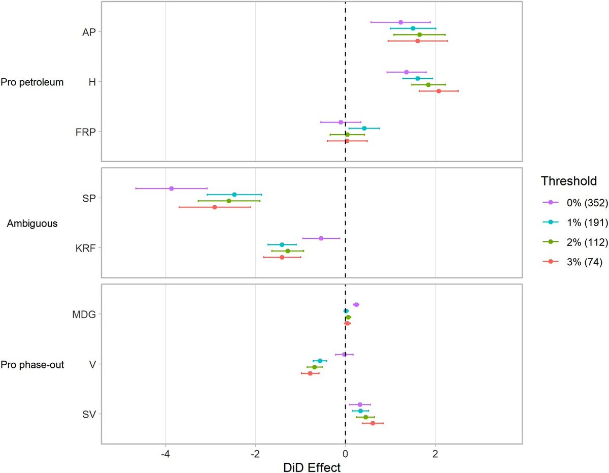
We analyzed party positions on phasing out fossil fuels in 🇳🇴 (reading lots of party manifestos) and we leveraged the oil price shock so check whether voters in regions affected by job loss responded in national elections. Open access in @Climate_Policy: tandfonline.com/doi/full/10.10…

English