Frederick Davies
644 posts

Frederick Davies
@freddavies
Max Planck Research Group Leader @ MPIA
Heidelberg, Germany Katılım Mart 2009
308 Takip Edilen112 Takipçiler


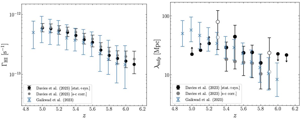
This work is complementary to my postdoc Prakash Gaikwad's paper (arxiv.org/abs/2304.02038) using different simulation/statistical methods.
Our analyses (more or less) agree! Phew! At this cosmic epoch, the UV background and the distance UV photons travel both increase steeply.

English

Finally: arxiv.org/abs/2312.08464
My contribution to the XQR-30 collaboration, wherein we constrain properties of the high-redshift (z = 5 to 6-ish) intergalactic medium from the Lya forest using likelihood-free inference.
English

First: arxiv.org/abs/2312.06747
The IGM damping wing in the first z = 7.5 quasar *might be* contaminated by absorption from foreground z ~ 7.4 galaxies recently discovered by the JWST NIRSpec GTO (arxiv.org/abs/2309.06470)
English

@KnudJahnke @ab_drake Thanks for that! We actually just found out that our Hausarzt is doing a vax campaign (BNT/JJ/AZ) all day on Thursday/Friday, so we’re going to wait in line and hope for the best. Selfishly trying to not miss exciting talks at a virtual conference tomorrow…
Heidelberg, Germany 🇩🇪 English

New paper showed up on arxiv this week, arxiv.org/abs/2007.15657. High-z quasar proximity zones probe the intrinsic luminosity, and thus can constrain (strong) gravitational lensing!
English
Frederick Davies retweetledi

New paper on arXiv today! Putting quasar spectral reconstructions to the test.
Older techniques have biases & it explains why previous measurements of reionisation disagreed.
Newer techniques good (pictured).
arxiv.org/abs/2006.10744
w/ @freddavies

English

@AstroMikeMerri @Unistellar Not at all! It's amazing you could see multiple images of a lensed quasar!
One of the previous targets on my quest to detect the most distant objects I could was this z=3.9 lensed quasar, but unfortunately its images are separated by ~0.4" so there was no hope to split them...

English

Take a look at the most distant object observed with the eVscope so far! This is a quasar, the extremely bright core of a galaxy that is almost as old as our universe. Many thanks to @freddavies who observed it with his eVscope! buff.ly/2Aug2hJ

English

@Mirpandaa How about you? I'm always impressed by the design stuff showing up on your instagram!
English

@Mirpandaa Good! Just moved from Santa Barbara to the Bay area, hanging out in a hotel while my new place gets some maintenance done (move in got rescheduled from the 1st to the 7th, sux). I'll only be here for a bit less than a year, but it should be fun. (The rent is too damn high, tho)
English

Just in time for my talk at EWASS, our paper on the nature of reionization-epoch quasar growth is finally on arxiv: arxiv.org/abs/1906.10130
English





