H.O.(Japan)
302 posts

H.O.(Japan)
@fun_Fibonacci
Erdős number 3. F(n),L(n), φ=#Fibonacci, #Lucas number, #goldenratio. https://t.co/Tq3kGH2uLQ
日本 Katılım Eylül 2024
1 Takip Edilen466 Takipçiler
H.O.(Japan) retweetledi

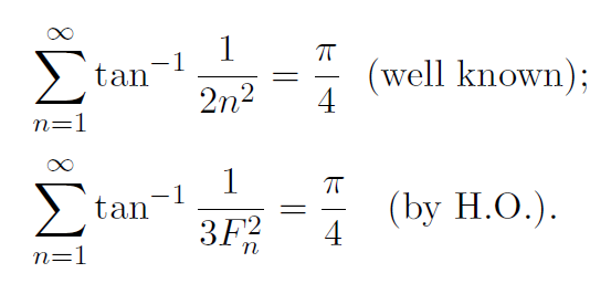
最近, 下の関係式に気づいたが, もっと一般化された関係式がすでにあることを知った.
#cite_note-17" target="_blank" rel="nofollow noopener">en.wikipedia.org/wiki/Faulhaber…

日本語

Ramanujan's nested radical and its Fibonacci analogue (Fibonacci Quart. Problem B-1066) #Ramanujan #nestedradical

Català

x(x+d)(x+2d)(x+3d)+d^4=(x^2+3dx+d^2)^2
のように任意の4項等差に+d^4補正入れれば平方数できるのすき
ぷさい/psi@psi_mathXXX
なんと、『連続する4つの整数の積に1を加えると平方数』を知らなかった
日本語















