Antonio Gutierrez

6K posts

Antonio Gutierrez banner
Antonio Gutierrez

Antonio Gutierrez

@gogeometry

Katılım Mayıs 2009
840 Takip Edilen6K Takipçiler
Antonio Gutierrez retweetledi
Stéphane Bernard
Stéphane Bernard@steph_bernard69·
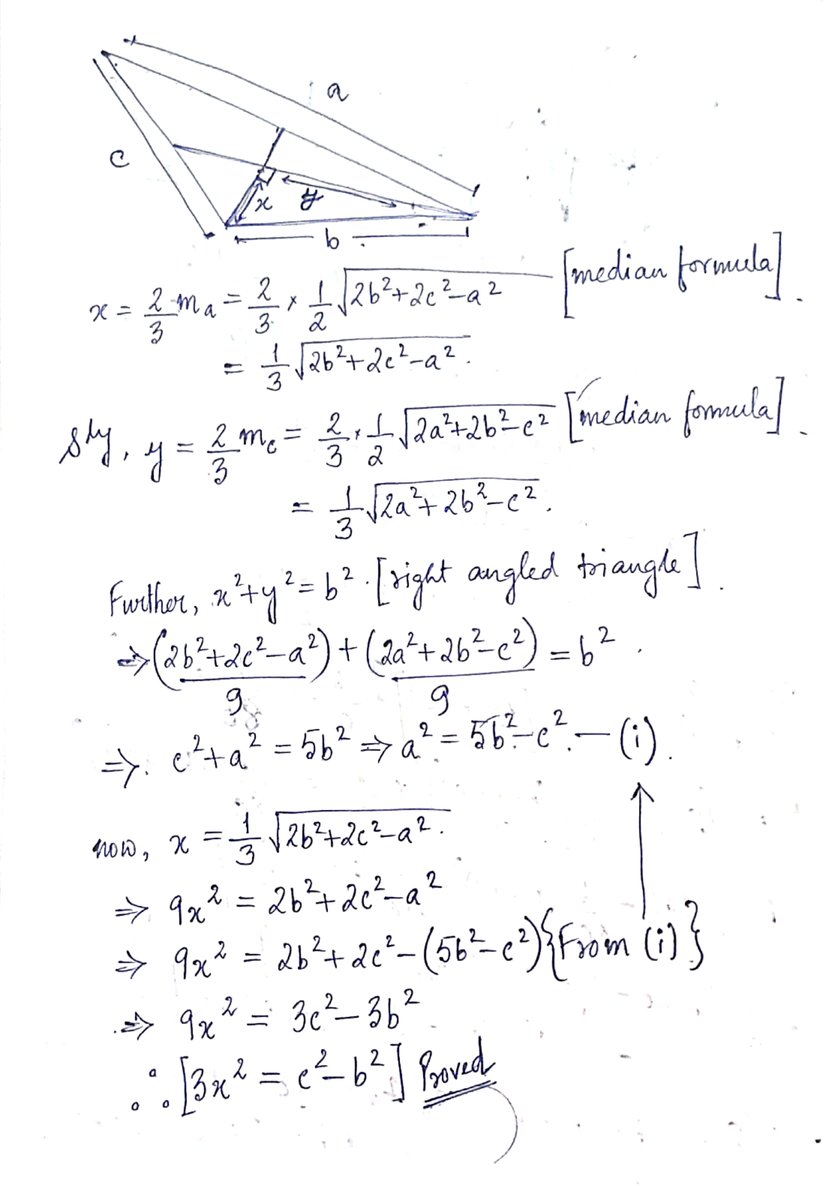
@gogeometry Sorry there was an error in previous post.
Stéphane Bernard tweet media
English
0
2
3
155
Antonio Gutierrez
Antonio Gutierrez@gogeometry·
@steph_bernard69 You are correct. Precision is key. While 53/2° is the classical shorthand used in many geometric traditions, the value is indeed arctan(1/2) ≈ 26.565°. In this problem, the structural relationship (the 1:2 ratio) is what matters most for the synthetic proof. Great observation!
English
1
0
2
54
Stéphane Bernard
Stéphane Bernard@steph_bernard69·
@gogeometry it isn't 53/2 = 26.5. The tangent of the given angle must be 1/2 so it is rather 26.56505..
English
1
0
1
65
Antonio Gutierrez
Antonio Gutierrez@gogeometry·
@GoodnotesApp I'm thinking of upgrading to iPadOS 26, but as a heavy user, I want to be sure first. Are there any known bugs or performance issues with Goodnotes on the new OS? Thanks! #Goodnotes #iPadOS26
English
0
0
0
209