hb2n retweetledi
hb2n
309 posts

hb2n retweetledi

JUST GOT RELEASED AGAIN AND AIRING LIVE RIGHT NOW.
'RAPEUMENTARY' A CHRIS UNBIAS STORY' by ADEPT HNIC
THE ALLEGED RAPIST > @ChrisUnbias
youtu.be/qiIbI5nU0lo?si…
@hb_2n
@AdeptHNIC1
@BattleRapVisual

YouTube
English

@TeamYouTube I tried to appeal and it was terminated under a false bully and harassment. I was literally joking with a friend on a live panel. Nobody human actually reviewed it. I still have the live stream.
English

@hb_2n It's best to appeal in YouTube Studio within one year. We review one appeal per termination, so recommend reviewing our policies and including any and all relevant context during the review process: goo.gle/4pqL4Ku
English

@TeamYouTube how can I recover a page that was falsely terminated for bullying and harassment?
English
hb2n retweetledi
hb2n retweetledi

hb2n retweetledi

WTH why @AdeptHNIC1 saying @ChrisUnbias works at McDonald’s youtube.com/live/tlFs9FcVZ…
@KingDnaTooth @ItsARP @piperboywilliam

YouTube
English
hb2n retweetledi

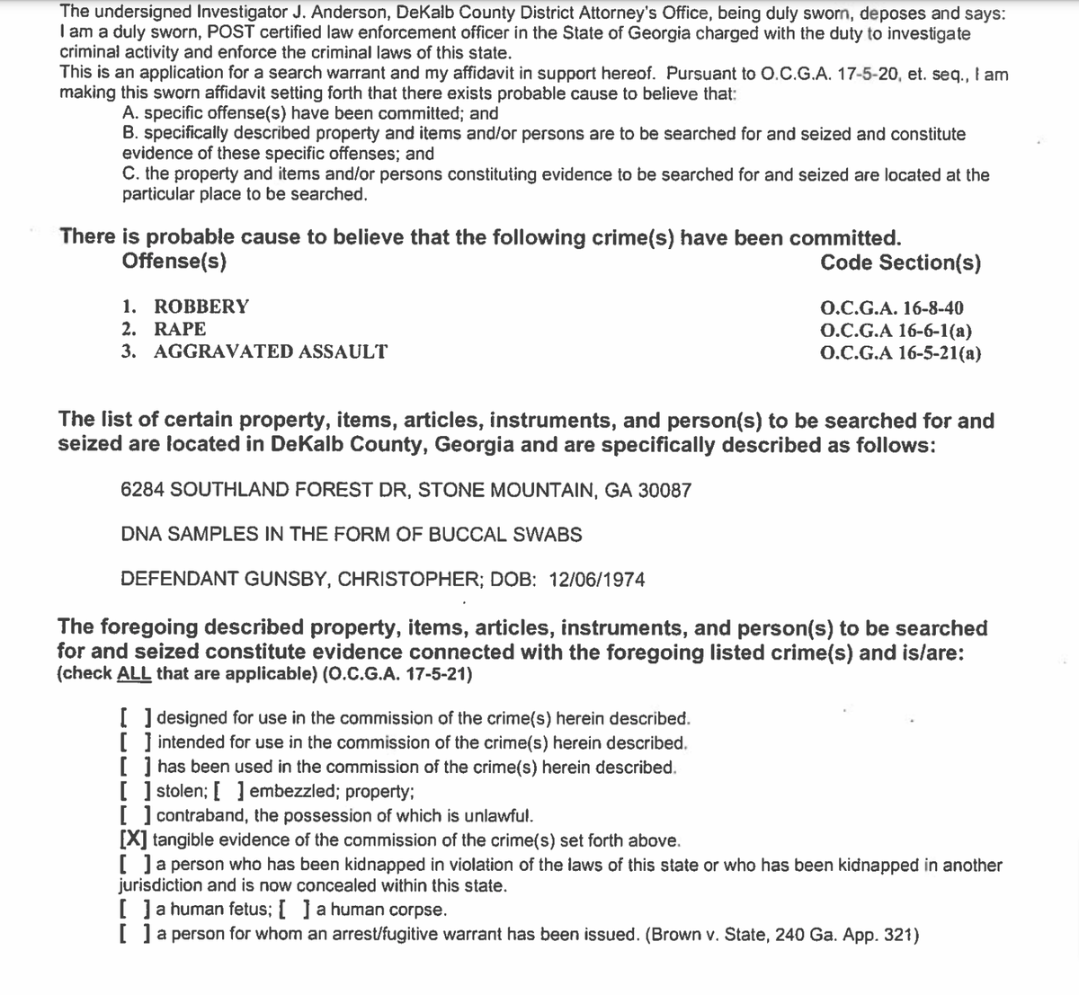
THIS WORK JUST DROPPED ON CHRIS UNBIAS. COURTS ARE MOVING FORWARD..
@chrisunbias
SEARCH WARRANT AFFIDAVIT FOR DNA OF CHRIS GUNSBY AKA @UnbiasMoustach



English

@McDonalds hey you guys should start selling hot dogs, and call it the “McGlizzy”.
English

Hey @rumblevideo please add live chat replays and allow links to work in live chats. Also why don’t live chats on streamyards pop up?
English
hb2n retweetledi

Battle Rap blogger admits to licking Tay Rocs @TheRealTayRoc1 asshole. @piperboywilliam @ItsARP @KingDnaTooth @MSHUSTLE1271 youtu.be/CZaCBrxdY58?si…

YouTube
English






