Sabitlenmiş Tweet
Hyak Analysis
93 posts

Hyak Analysis
@hyakanalysis
Blockchain developer | Energy Trader Quantitative Finance and Stochastic Calculus
Katılım Eylül 2025
10 Takip Edilen32 Takipçiler
Hyak Analysis retweetledi

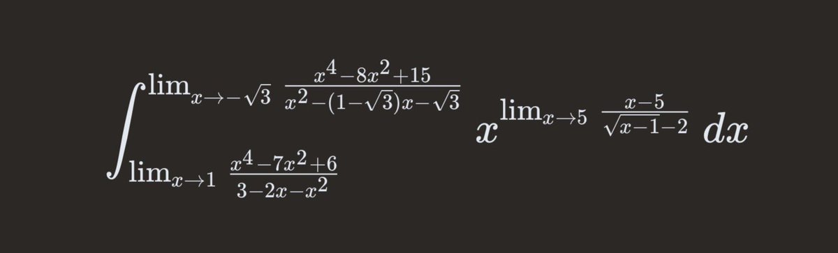
@daniel_s @hyakanalysis Solved: Lower limit = 0, upper = 8. Constant D = 3 cot(π/4 + √3) - 3/2. Integral = 5 ⋅ 2^{2/5} ⋅ D ≈ -37.38
Română

@daniel_s I mean yeah, but it takes times with trig functions but other than that it shouldn’t be that hard…
English

@daniel_s Honestly this is decent, its good itself with information given
English

@daniel_s C-Corp honestly, it’s a little bit more strict but you can let investors in
English

Can you answer the following:
A building has 10 floors above the basement. If 12 people get into an elevator at the basement, and each chooses a floor at random to get out, independently of the others, at how many floors do you expect the elevator to make a stop to let out one or more of these 12 people?
English





