Sabitlenmiş Tweet
Mr client
1.9K posts

Mr client
@ice_chimp_
What if it was all a dream
sand engineer Katılım Temmuz 2025
184 Takip Edilen27 Takipçiler

@Noahpinion Why are you always wrong about everything lol its like you have a humiliation fetish or something
English

Drone warfare makes the 2nd Amendment irrelevant as a check on government power.
🪶Native Patriot 🇺🇸@LaNativePatriot
Drone warfare is terrifying. You can have a whole arsenal to of 2A arms, train daily, & be in the best shape of your life…. & it still won’t do crap against drones This is a whole different level of man made horrors coming our way
English

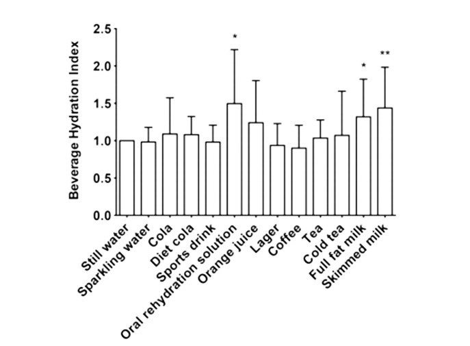
The idea that water is the only way to stay hydrated or that you "need" to drink it is a myth
Studies that measure how hydrating different drinks are based on urine volume consistently show that drinks with carbohydrates, protein, and electrolytes have better fluid retention
Milk and juice are the most hydrating, while mineral-rich waters are still better than distilled
Surprisingly coffee, tea, and alcohol are only slightly less hydrating than distilled water, making the idea that coffee dehydrates you also a myth

English

@elder_plinius Because you really think 5.5 is the riskiest model OpenAI has? 😏
This version is a watered-down version of what they keep internally. They’re not making that one public…
English
Mr client retweetledi

Time is passing #ticktocknigga you are never ever getting it back no matter what you do
English


The thing is, she's not lying. She's actively giving her life for chicken biscuits. We criticize addicts of all kinds. People actively encourage them to get clean. When you're eating yourself to death, you're embraced by the body positivity and fat acceptance movement.
Imagine a "Healthy while on heroin" movement? Not much different than "Healthy at any size." It's just seen as uncouth to tell Susan from HR she's going to have a heart attack from being 350 lbs any day. If she was shooting heroin, it'd be a different story.
GLPs fix this, btw.
English

This post is an excellent litmus test for understanding of just war theory.
Despite the fact that I can see how effective this would be, I must oppose it because the damage it would do to my enemy (who bashes in my mailbox) would far outweigh the good of saving my mailbox. Its disproportionality is opposed by our duty in charity (and even justice) to watch out even for the good of our enemies.
(Yes, by the way, I have had my mailbox bashed in by random vandals.)
My moms caregiver@mymomcare
People who have lived in the country understand this!
English

@ReviewsPossum Why would you have to clean anything out of your foreskin after someone fucks you in the butt?
English

@SwannMarcus89 This definitely matters to me in the same way as getting assaulted by a shit-covered HIV positive bum in public transport (the police dont show up when you call them)
English

Sometimes I have right-wingers ask why - if I’m so anti-crime - I am able to support the Democrats. To answer that question let me tell you the story of Nikola Motors
Nikola Motors was a company that claimed it had a working truck that ran on hydrogen. They created fake videos showing their truck working even though it never did and wound up fraudulently taking in 34 billion dollars from investors based on fake claims about their truck. The CEO was a longtime con artist who previously ran multiple other fraudulent companies and also allegedly sexually assaulted his cousin
So the former CEO was facing massive penalties for fraud but he was pardoned after donating $1.8 million to Trump’s election campaign in 2024. Today, he is running another likely fraudulent company staffed by his former co-conspirators at Nikola Motors that claims to have an “AI-powered” next gen aircraft that is going to come out in 2032. I’m sure this is legitimate, since their Trump-pardoned CEO has never run a non-fraudulent company in his life
Your tough on crime Republicans, ladies and gentlemen!
English


@hollowearthterf Right when I read books I mostly think about the colours on the cover rather than the name of the author or the book itself. Stupid bitch.
English

Considering you’re more likely to remember a cover, this probably helps you find your books faster. I don’t understand why people are so deeply annoyed by the concept of organizing a bookcase.
Hamilton 🇺🇸@Watchman_motto
I come to your house, I see this, I’m leaving. I’m walking out. You’re sick and you need to get help. I hope you can get the help you need.
English

@JHCBpersimmon Beautiful. Any realistic estimates on how much lower the ball speeds are off of one of these clubs than the modern bowling balls?
English
Mr client retweetledi

The left hates this and would prefer the algae suffocate the beautiful flower
ぽまぇ。@677djf
スイレンの花をアオミドロから救出した瞬間、その美しさがヤバすぎる
English

@Top100Rick Most of the problem would solve itself if you paid 1 or 2 people max to patrol the course and keep an eye out for slow play. 1 warning, then ejected for that day, then suspended from playing for a few months.
English
Mr client retweetledi

@centristpeater Women claim to be turned off by physique pictures but this is only true in an emotional sense. They want a man who is accidentally built like Chris Hemsworth and is somehow totally oblivious to the fact that this makes him sexually desirable to women in general.
English

@eigenkirkbot @fleshsimulator I understand doxxing his family but taking down a youtube channel..? Thats just.. ugh.. thats just too far man.
English

Forgot to tag him @fleshsimulator I get wanting to save face but you can also just reinstate my channel if you click the button in YouTube studio. I am not taking any action like that against you. Just made a documentary that is covered under fair use. Stay tuned for more.
English

@eugyppius1 It feels so good to unleash a hefty dose of pepperspray on peoples totally untrained uncontrolled animals you have to try it. Feels like obliterating someones pokémon with a single cast of blast burn or something
English
























