
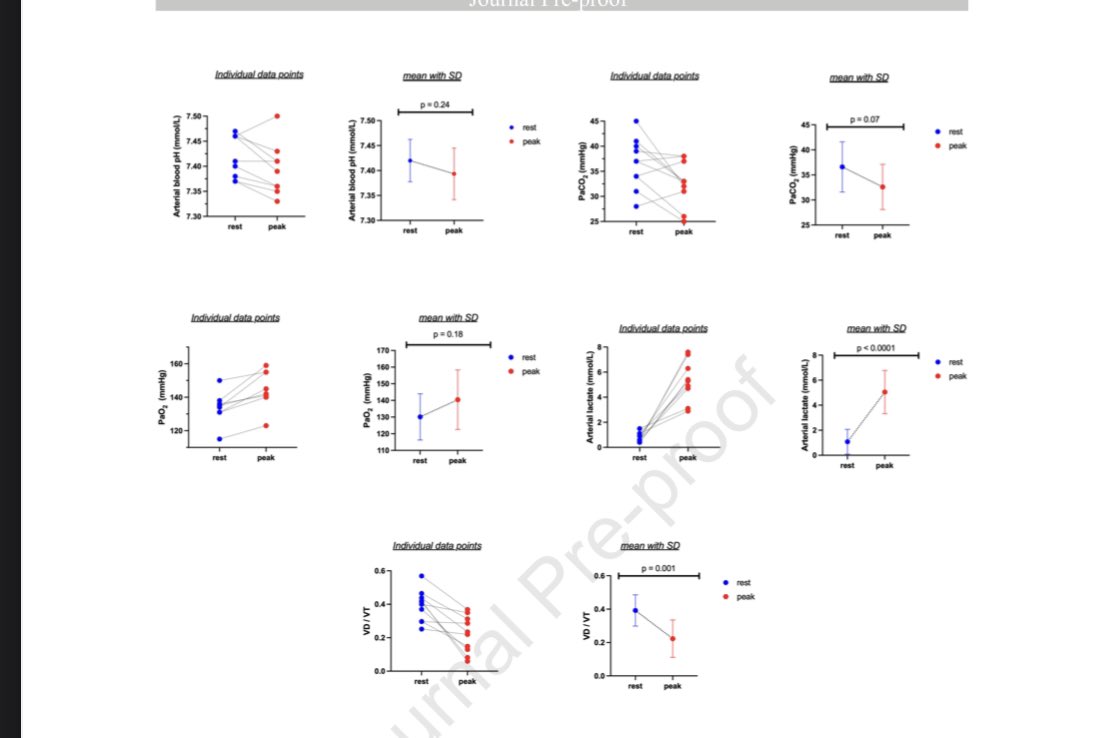
@dianaberrent @KaminskiMed @ahandvanish @long_covid @Inderji28461240 @YaleIMed @ATS_PC @Survivor_Corps @VirusesImmunity @accpchest @patientled To put in lay terms, the exercise limitation we observed in the post covid patients is from impaired oxygen extraction in the periphery (muscles etc) and not from limitations imposed by the heart and/or lungs (no evidence of pulmonary hypertension or heart failure.
English





