Sabitlenmiş Tweet
KadirAtes
42 posts


@istbarohhaklari Mahra'yı, Ali Asaf'ı, Mustafayı, Mete Durna'yı kim öldürdü.
Türkçe
KadirAtes retweetledi

İzmir'de bir müteahhit, emekli generalin oğlunu öldürmüş olay yeri inceleme polisleri cinayeti intihar gibi göstermek için delil karartmış, adli tıp intihar raporu düzenlemiş, savcı dosyayı kapatmış.
Emekli general oğlunun cinayetini ortaya çıkarmak 8 yıl uğraşmış. Polisler delil karartmaktan yargılanıyor. Adli tıp raporu yeniden hazırlandı ve intihar değil cinayet olduğu ortaya çıktı.
Kıçı kırık bir müteahhit polisi savcıyı adli tıbbı bağlamış. Paşa çocuğuna bunu yapan sıradan anadolu insanına neler yapmaz. Yargı ve emniyet bu kadar yozlaşmamalıydı. Bir devletin dini adalettir. Parası ve adamı olanın cinayet örtbas edebildiği bir ülke olmamalıyız.
Acans@AcansHaber
İzmir’de 2018’de cansız bedeni bulunan, Emekli Tümgeneral Ethem Büyükışık'ın oğlu Dorukhan Büyükışık’ın ölümüyle ilgili iddianamede, Büyükışık’ın intihar etmediği ve dövülerek öldürüldüğü ortaya çıktı. (T24 - Tolga Şardan)
Türkçe

@bacaertes Devlet senin ne mal olduğunu anladıktan sonra sahip çıkmayı bıraktı muhtemelen. Şimdi nereni yırtarsan yırt tekrar o ilk günkü etkiyi yaratamazsın
Türkçe
KadirAtes retweetledi

📍 Kamuoyunun Vicdanına ve Sayın Yetkililere
Ben bir babayım…
Kızımın yaşadığı acı hâlâ yüreğimizde taze.
Ne yazık ki tehdit ve tahrikler devam ediyor.
Bu süreçte sessiz kalmam mümkün değildir.
Talebim nettir:
Dosyanın ciddiyetine uygun şekilde değerlendirilerek, gerekli görülmesi halinde ağır ceza mahkemesine sevk edilmesidir.
Aksi halde, adalet arayışımı duyurmak adına
Ankara’ya, Adalet Bakanlığı’na adalet için yaya olarak yürüyeceğimi kamuoyuna saygıyla bildiririm.
Bu bir tehdit değil,
bir babanın vicdanlara yaptığı çağrıdır.
Adalet için susmayacağım. @adalet_bakanlik @TC_istanbul @mustafaciftcitr @yalovavaliligi @TBMMresmi @MhpTbmmGrubu

Türkçe

Annem bugün işten kovuldu. Patronu aramak istedim. Telefonu yoktu. Sosyal medyadan buldum. Instagram’ı açıktı. Son paylaşımı tatil fotoğrafıydı. Bodrum. 5 yıldızlı otel. Havuz başında cocktail.
Annem 11 yıldır o adama çalışmış.
Yorum atmak istedim. Elimde klavye. 10 dakika öylece durdum.
Sonunda bir şey yazmadım. Kapattım.
Akşam annem “iş bulurum merak etme” dedi. Güldü. Benim içim yandı o gülüşe.
O gece patronun o fotoğrafını telefonuma kaydettim. Neden kaydettiğimi bilmiyorum. Hâlâ telefonda duruyor.
Türkçe

@ikdannefret Kamuda amirinin şahsi (!) hesabındaki her gönderiyi tekrar paylaşan güruhu görmemişsin daha....
Türkçe

@gizliservis06 Ne saçma!!! Sırf popüler diye kişiler aday mı gösterilir?
İnfluencerleri de aday gösterilsin o vakit, çocukları fenomen olmak için iyice özendirelim ..
Türkçe

Son anketler, seçmenin toplumla daha yakın, güven veren ve yardımsever profilleri siyasette görmek istediğini ortaya koyarken, bu tablo kulisleri de hareketlendirdi. Edinilen bilgilere göre;
Dinçer Azaphan ve Haluk Levent’e milletvekilliği teklifi götürülmesi gündemde.
Siyasi kulislerde konuşulan bu hamlenin, seçmenle bağ kurma arayışının bir parçası olduğu değerlendiriliyor.


Türkçe

@Av_MeltemZorba @gul_davut İyi bir gelişme. Ancak burası federe devlet mi @TC_icisleri İstanbul'da suç olan diğer ilde değil mi? Neden bakanlık tüm belediyelere aynı yazıyı yazıp suç duyurusunda bulunmuyor? @mustafaciftcitr
Türkçe

İstanbul’da belediyeler ipe un sererek iş yapıyordu, sonunda valiliğin sopa göstermesi kaçınılmaz oldu.
Sn Vali @gul_davut imzasıyla gönderilen yazıda;
📌toplama faaliyetlerinin yavaş bir şekilde ilerlediği,
📌yer tahsisi yapılmasına rağmen doğal yaşam alanı inşaatının başlamadığı belirtilerek,
📌Mayıs ayı sonuna kadar sahipsiz köpek popülasyonunun kontrol altına alınması istenmiş ve…
📌SORUMLULUĞUNU İHMAL EDENLER HAKKINDA ADLİ İŞLEM BAŞKATILACAĞI bildirilmiştir.
Şimdi @istanbulbld ve bütün ilçe belediyelerinin yasal yükümlülüklerine rağmen neden böyle tokat gibi bir uyarı aldığını düşünmelerini bekliyoruz. Bu uyarıdan @DkmpIstanbul da nasibini almıştır umarım.
@TC_istanbul ve @gul_davut Valimize teşekkür ediyoruz. Mayıs sonu itibarıyla gözle görülür sonuç alınması gerekiyor. Vatandaş da bu sürecin takipçisi olacaktır.
@TC_icisleri
@TCTarim
Güvenli Sokaklar@GusoderX
🚨 SON DAKİKA | İstanbul Valiliği, Mayıs ayı sonuna kadar başıboş köpeklerin toplanmaması durumunda, görevlerini ihmal eden yerel yönetimler hakkında Cumhuriyet Savcılıklarına suç duyurusunda bulunulacağına dair resmi bir yazı yayınladı.
Türkçe

@devrimkocak @seda_su7 Yasa çıktı; ancak sokaktaki çocukların güvenliği hâlâ "uygulanma" sorununa takılıyor.
Neden?
Devletin gücü savunmasız vatandaşını koruyabilmesiyle ölçülür.
#GüvenliSokaklar bir lütuf değil, çocuklara olan borcumuzdur.
@RTErdogan @TC_icisleri @mustafaciftcitr @abakingurlek
Türkçe

28 Mart 2022 #MahraMelinPınar ın başıboş köpekler nedeniyle ölümünün yıl dönümü!
Geçen 4 yılda mevzuatı değiştirdik ama uygulamadaki ihaneti aşamıyoruz!
5199 sayılı Hayvanları Koruma Kanunu ve ilgili mevzuata uymayarak/uyulmasını sağlamayarak, denetim ve ceza mekanizmasını işletmeyerek, halk sağlık ve güvenliğini tehlikeye atan valiler, bakanlıkların taşra teşkilatları, bakan yardımcıları ve bakanlar vatan haini olmadığınıza nasıl inanacağız?
Elinize silah alıp vuramayacağınız vatandaşı başıboş köpeklere parçalatıyorsunuz, parçalatanlara göz yumuyorsunuz var mı bir açıklamanız?
Bu vebali ödeyemeyeceksiniz!
@RTErdogan
@tcbestepe
@hasandogan
Sayın Cumhurbaşkanım, yasama çalıştı, yargı hükmünü verdi! Yürütmeye neden söz geçmiyor?
Türkçe

@GuvenliSehirler Neyse ki video da çekmiş, yoksa onun ne kadar iyi bir insan olduğunu nereden bilecektik.
Türkçe

Kader işte, çöp tenekesinde ağzı sıkıca bağlanmış bir poşet içerisinde cins bir köpek bulmak her insana nasip olmaz.
Ayşegül Sazçalan@aysgl_szcln
Tek bir köpeği kurtarmak dünyayı değiştirmeyecek, ama o köpek için dünya sonsuza dek değişecek. 😍
Türkçe

Giden geri dönmez ama hatırası da toprağa sığmaz. Toprak olur, çiçek olur ama asla veda olmaz. O derin sessizlikte, gelincikler her bahar bir sözü tutar gibi yeniden açar.
İlber Ortaylının anısına....
#ilberortayli

Türkçe

@GuvenliSehirler Ben de o dönem algılara yenik düşüp inanmış ve önlem alınmasını istemiştim. Ne aptalmışım
Türkçe

Bu köpeği hatırlıyoruz!!!
Tarlayı hasat eden bir çiftçi tarafından yanlışlıkla yaralanmış, bulunduktan sonra tedavi için veterinere götürülmüş ve bu haliyle sözde hayvan severler tarafından yıllarca istismar edilmişti.
Hatta sembol olmuş ve 2021 yılında köpekleri telef etmek kabahat olmaktan çıkıp suç kapsamına alındı.
Şiddet görmemiş bir hayvan üzerinden güya "şiddeti önlemek için" çok güzel filimler çevrildi.
Ama olan Türk milletine oldu. Başıboş köpeklere dokunmak suç oldu ve insanlar kapılarının önlerindeki tehlikeyi bile bertaraf etmekten mahrum bırakıldı.
Türkçe
KadirAtes retweetledi

Şu sayfayı acilen 10 bin yapalım tek tek kontrol edeceğim (0 şaka) @istiklalkadin
İstiklal Kadınları Hareketi@istiklalkadin
Buradayız, çünkü :
Türkçe

@ankara2barosu Hayvan hakkı ney laaa, hukukçuyum demeye utanın biraz
Türkçe

Ankara 2 No’lu Barosu Hayvan Hakları Merkezi’ne, baromuzun resmi sosyal medya hesapları ve elektronik posta adresi üzerinden iletilen şikayet ve ihbarlar, Merkezimiz tarafından titizlikle incelenmiştir.
Yapılan inceleme sonucunda, Hayvan Hakları Merkezimizin hak temelli çalışma ve barış ilkelerine zarar verdiği anlaşılmış; bu nedenle ilgili meslektaşın Merkez üyeliği sona erdirilmiştir.
Kamuoyuna saygıyla duyurulur.

Türkçe

@ibrahimguzeluni GYS'de mülakat sisteminin kalkması elzemdir, sınav dışı hülle atamalar da iptal edilmelidir.
Torpille yükselen basiretsizleri de görüyoruz
Türkçe

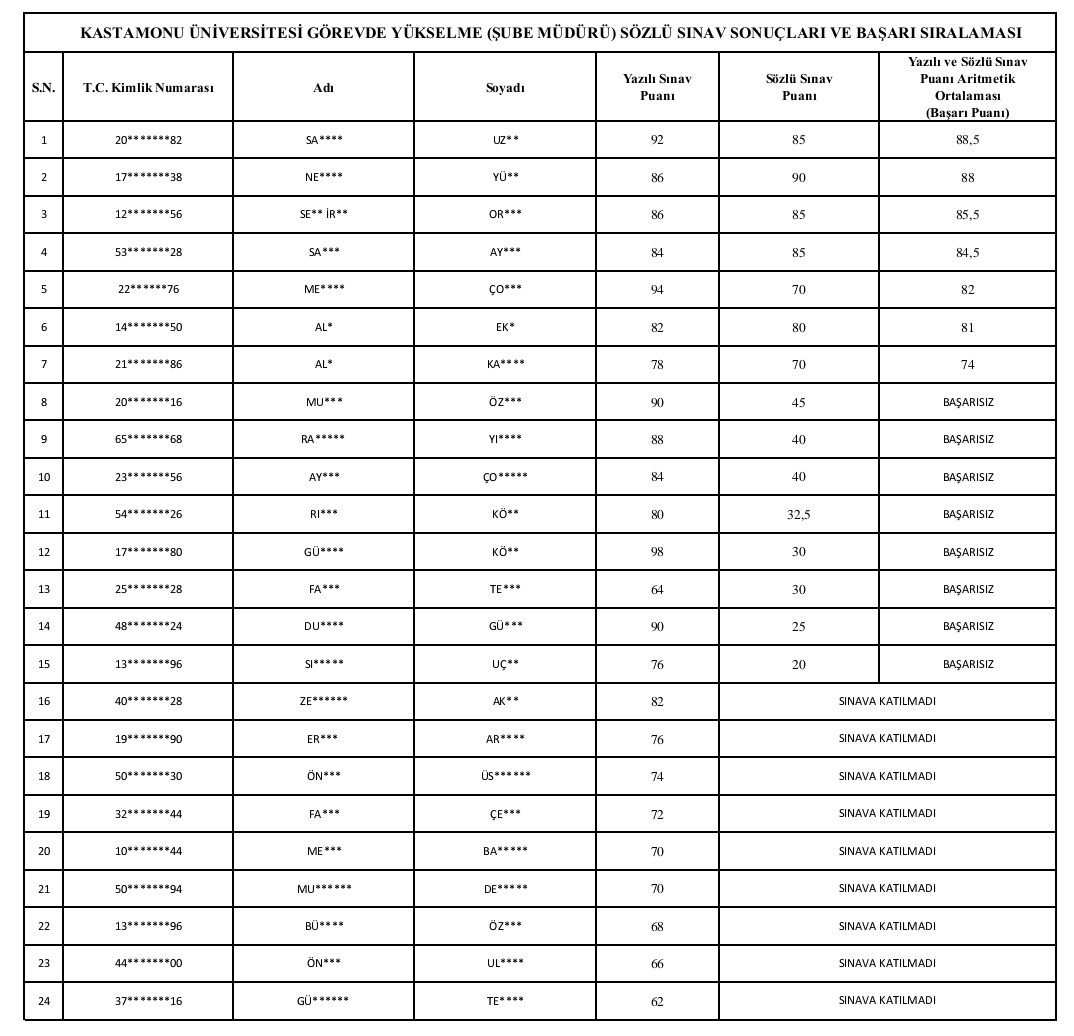
KASTAMONU ÜNİVERSİTESİNDE EVLERE ŞENLİK MÜLAKAT!
Kastamonu Üniversitesi tarafından 23-24 Şubat 2026 tarihlerinde yapılan görevde yükselme ve unvan değişikliği mülakat sonuçları geçtiğimiz günlerde üniversite web sayfası üzerinden yayınlandı.
Sendikamıza gelen şikayetler ve kamuoyuna yansıyan bilgiler sonrasında hukuk birimimiz tarafından yapılan incelemede, sınavsız kadrolara keyfi atamalar yetmiyormuş gibi aylarca sınava hazırlanıp kariyer hakkından yararlanmak isteyen idari personelin bu hakkını da elinden alma olarak yorumladığımız süreç yaşandığını görüyoruz.
Kısaca özetlemek gerekirse;
Şube müdürlüğü sınavlarında, 98 puan alan adaya mülakatta 30 puan verilerek elenirken, yazılı sınavda 78, 82 ve 84 puan alanlar mülakat puanıyla üst sıralara taşınarak başarılı yapıldıklarını görüyoruz!
Şef sınavında ise, yazılı sınavda 90 puan alan kişi mülakatta 40 puan verilerek elenirken, yazılı sınavda 64 puan alan kişi mülakat puanı ile bir çok kişiyi eleyerek 4. Sıraya yerleşmiştir!
Mülakat sınavları ile başarılı yapılan kişilere baktığımızda ya bir daire başkanının eşi olduğunu, ya da rektör, rektör yardımcılığı ve genel sekreter özel kaleminde çalışan memur ya da şef olduklarını görüyoruz. Ayrıca sınav öncesi şube müdür vekilliği yapan iki kişiye de, adeta sen gir sınava barajı geç gerisi bizde dercesine önce vekillik sonra asillik verildiğini görülmektedir.
Biz @unipersen olarak hülle atamalara karşı verdiğimiz mücadelenin aynısını görevde yükselme ve unvan değişikliği sınavları için de vermeye devam edeceğiz.
İdari personelin kariyer hakkından hakkıyla yararlana bilmesi için eylemsel ve hukuksal mücadelemizi büyüteceğiz.
Henüz itiraz sürecinde olan sınav için Kastamonu Üniversitesine buradan çağrıda bulunuyoruz.
Bal tutan parmağını yalar anlaşından vazgeçin, idari personelin kariyer hakkını engellemeyin.
İdari personel arkadaşkarımızdan hukuki süreç başlatacak olanların da Sendikamızla iletişime geçmelerini istiyoruz.
Birlikte başaracağız..
@unipersen @kastamonuunv @A_H_Topal @YuksekogretimK @erolozvar


Türkçe














