Sabitlenmiş Tweet

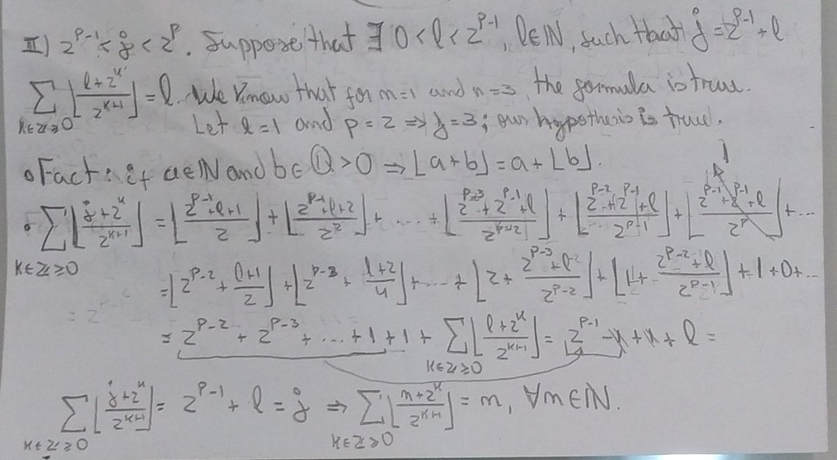
I don't know if the solution is correct. I did some kind of weird induction.
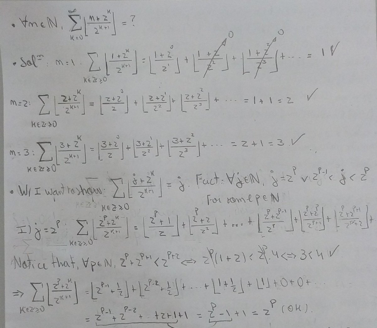
Eu tô realmente impressionado que fiz essa questão, nem sei se isso tá certo (acho que está). Acho que é a primeira questão da IMO que eu consigo resolver sozinho, não sei se consideram difícil essa :(


SQRT@mathisstillfun
1968 IMO Problem 6
Português











