MAL
260.4K posts

MAL
@malprocrastina
Hombre blanco heterosexual con genitales femeninos que se identifica como Troll / Tomarme en serio seria un gran error ... ¯\_(ツ)_/¯



"Caputo" Por la columna de Pagni que le atribuye estos dichos al Ministro de Economía en un encuentro con otros funcionarios del Gobierno: “Hice todo lo que se podía hacer. Acordé con el Fondo. Arreglé con los bancos multilaterales. Conseguí el cheque de Trump. Sin embargo, el índice de riesgo sigue sin bajar. Ya no depende de la gestión económica. Depende de la situación política. Si se altera la gobernabilidad es imposible que se recupere la confianza”.

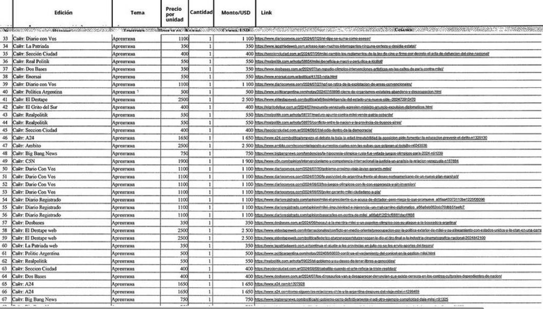
✍️ Leé la nota completa de Diana Cariboni, de openDemocracy. 👉 Sofía Álvarez Jurado y Santiago O’Donnell contribuyeron a esta investigación. 📃 La información surgió de 76 documentos que obtuvo el medio africano The Continent y que fueron analizados por openDemocracy (Gran Bretaña), Dossier Center e iStories (Rusia), All Eyes on Wagner y Forbidden Stories (Francia), Filtraleaks (Argentina) y 2 periodistas independientes de habla rusa. chequeado.com/investigacione…




[NUEVO] Documentos revelan una campaña rusa para influir en medios de Argentina y desacreditar al gobierno de Javier Milei. Se trata de una investigación basada en 76 registros filtrados analizados por un consorcio de 7 medios. Abrimos🧵👇

🔴 MEGA ESCÁNDALO: Una red de desinformación rusa habría invertido $283.000 dólares para “inyectar” al menos 250 artículos en contra del gobierno de Milei en más de 20 medios de comunicación argentinos. Algunos de los medios implicados son: Infobae, C5N, El Destape, Ámbito, A24. La tarifa para cada uno de estos artículos, según documentos filtrados, oscilaba entre $300 y los $3500 dólares.






















