
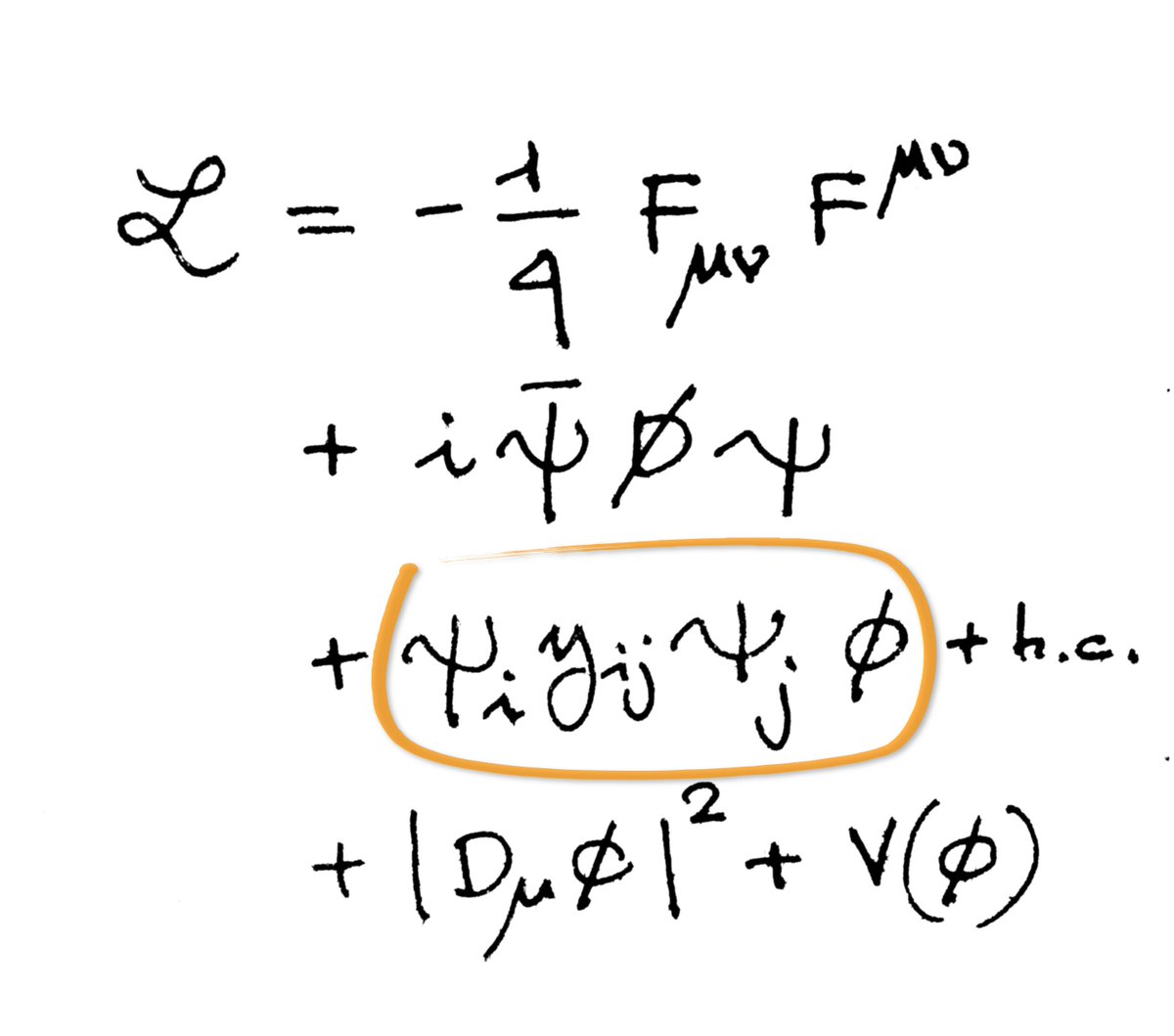
I code out of necessity, and I might finally be able to stop
borborigmi.org/2026/03/11/i-c…
#physics #AI

English
Marco Delmastro
9.9K posts

@marcodelmastro
Particle physicist studying the #Higgs with the @ATLASexperiment at @CERN LHC. Husband and dad, avid reader, mountain enthusiast, guitarist, origami folder.



























