银座BOY
9.2K posts


@YUN990653589514 @yh9401700442687 相信我,從大街上隨便找一個臭老頭子,要求不高,學歷初中畢業且心智正常即可,讓他當中國共產黨的總書記+國家主席,不會比習近平幹得差🤭🤭
中文

孩子们其实总书记在清华的本科专业读的是化工)
ps:最后一排最高那位就是他

溯汐🌹👊⚙️@SuXiNewleft
其实包包也是文科生(官方百科:清华大学人文社会学院马克思主义理论与思想政治教育专业毕业,在职研究生学历,法学博士学位)
中文

@williamibd0938 @xiexie92446 @yh9401700442687 氣急敗壞開始噴糞了耶🤭,算我多嘴,跟你這種貨色講話純屬浪費時間。
不過也不意外就是了,糞坑共產黨官僚家庭能生出什麼正常貨色出來嗎?🤭
可憐吶🤭🤭🤭
中文

@maxnmsl @xiexie92446 @yh9401700442687 你这个水平上港三估计够呛,最多香港浸会的水平,和别人说的越多只能暴露你文化水平,认知水平的低下,在hk这么一个如此看中学历的地方,你注定没啥前途,一辈子在底层,这边建议你最好绝育,别祸害下一代了
中文

@williamibd0938 @xiexie92446 @yh9401700442687 我有完全否定自學能力對一個人的重要性嗎🤭,根本就是在胡言亂語+答非所問🤭,你歲數多大了?感覺像是老年痴呆症耶🤭🤭
中文

@maxnmsl @xiexie92446 @yh9401700442687 看一个人是否能成才,就看他是否有自学能力,工作也好,学习也罢,哪有那么多老师教你?你能说出这种话,我都怀疑你是否有上过班,每年哲学,神学,历史学的进投行的很多,更多的是看他的自学能力,快速学习能力
中文

@williamibd0938 @xiexie92446 @yh9401700442687 數理化自學“很正常”,“從來不需要老師教”??????
多狂的口氣🤭,愛因斯坦當年不過就自學了微積分,也不敢講門門數理課程自學。華羅庚當年沒錢上學,跑到學校去旁聽,也不是純自己看書自學的🤭。
至於我講中國人人均喬治•布爾,當然是在譏諷🤭🤭,你情商和智商是負數嗎🤭
中文

@maxnmsl @xiexie92446 @yh9401700442687 数理化自学很正常,真正优秀的人,从来不需要老师教,然后你又以偏概全,说中国"人人都能自学",我很怀疑你是否受过高等教育,你缺乏基本的逻辑思维,文科背就行?你考一个文科状元出来呗?照你这么说,那些大律师都是靠背就行了
中文

@williamibd0938 @xiexie92446 @yh9401700442687 所以你想表達什麼?習近平是78年“考”進大學的?🤭🤭
再說了,如果是考文科當然可以自學,反正你就背嘛🤭🤭。
數理化怎麼自學?乖乖,中國人人均“喬治•布爾”,都自學成才,自己看書,無師自通🤭🤭
中文

@maxnmsl @xiexie92446 @yh9401700442687 在这里断章取义,他说的是自学之后78年考大学,我舅舅就是78年西南政法的,他文革期间都在乡下,平时一有时间就喜欢看书,写日记,他们那一届出了很多高官,我舅舅是98年亲自抓捕张子强归案的警察,那时候还上了新闻
中文

@Yellowgod2 @yh9401700442687 你大爺手搓電視算啥,現在中國的產業工人用手磨,能達到5納米級別的精度🤭🤭,再過幾年就可以手搓2納米製程的芯片了🤭🤭
tw.news.yahoo.com/%E9%9B%A2%E5%B…
中文

@BaNefry92533 @yh9401700442687 愛因斯坦再聰明,中學時也不過就自學了大一上學期的一元微積分。習近平更厲害🤭,看大躍進時期的課本,十幾歲自學流體力學、電動力學&量子力學。如此滑稽搞笑的中學物理課本,全世界也就只有中國吹牛逼大賽(大躍進)時期能編寫的出來,難怪會釀成餓死幾千萬人的悲劇🤭🤭。



中文

@maxnmsl @yh9401700442687 我没有记错的话,他所在的村子是第一个通沼气的。细节记不清,但是2000年初的采访当年的村民有提到过。而且作为有背景,适配能力的人,我觉得搞到我讲的哪些书不困难。另外虽然这时期搞政治极端化,但是数理化课本毫不含糊。你可以找数理化自学丛书,就是60初的…知乎考古老教材例子更多,问题是使用率




中文

呵呵,我跟很多朋友講中華人民共和國的民主甚至還不如伊朗,居委會和村委會的選舉是什麼狗屎樣,選上去的都是什麼狗屎玩意,大家心裏都清楚。
李老师不是你老师@whyyoutouzhele
“黑恶势力又冒头了” 3月31日,陕西,曹氏村。村民反映:花臂纹身村书记在组长选举过程中想安排自己人当选,于是填票作假,导致选票被提前填完,仍有十几户村民没有领到选票。 随后,村书记直接让干部撕毁选票并焚烧票箱。
中文
银座BOY retweetledi

這家長夠奇葩,我記得高中化學週期表上一半元素基本考不到😅
勃勃OC@bboczeng
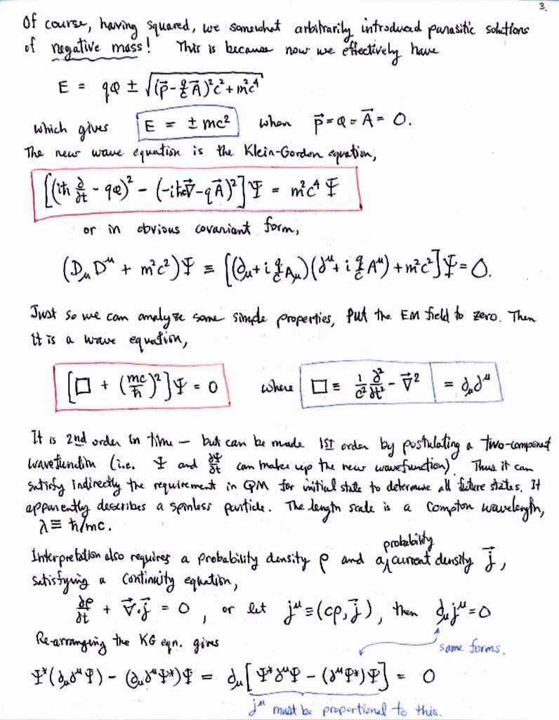
不是这种死记硬背的垃圾信息也要卷吗? 还是说这位父亲是个文科生,不知道大学物理用强相互作用力,泡利不相容和电子的量子化轨道 可以完美的能解释这些内容? 背来干啥呢? 😅😅😅
中文

@yangni1111 王先生自述:
2003年,家中承包地被強行收回,數十畝小麥被奪,報警無門,訴訟無果。後來,父母相繼自殺。
相信我,這絕對是胡編亂造的😂😂😂
中文

▌你想討回公道,刀卻落在無辜者身上
推友王先生,中國河北人。他最近在東京提起訴訟,有4名被告:①墨西哥航空、②成田國際機場、③日本國、④千葉縣警察本部。
起因是2025年8月,他準備從日本成田機場飛往墨西哥,再轉往美國。墨西哥航空公司以他「未購買回程機票」為由,拒絕他登機,並向他出示一份中文告示(解說) 。
因為告示上面只有中文,他認為這構成對國籍的歧視,也認為要求回程機票是對人格的侮辱。他當場在機場「拉橫幅」抗議,被機場警方驅離。警方要求他停止錄影,他則認為這侵犯了表達自由。
目前4名被告已作書面回應。
王先生自述:
2003年,家中承包地被強行收回,數十畝小麥被奪,報警無門,訴訟無果。後來,父母相繼自殺。
這些經歷,讓人很難不產生同情。
王先生去年從中國河北離開,先去了泰國,因辦證問題和泰國移民官發生衝突。他打算提告泰國,不過沒有當地律師願意接案。
之後來到台灣,在101等處舉牌抗議中共,過程有些小衝突,但不算嚴重。他試圖讓台灣接受他居留,但遭拒。接著再轉往日本,繼續抗議。
他一路控訴中共,也一路在當地產生摩擦。也被路過的小粉紅辱罵。
很同情他,但是…
如果他無法正視自己受傷的源頭,找到更合適的方式,其他人未必能理解他內心的悲傷和憤怒。他或許認為是在討回自己的公道,但在這條路上,他的刀卻落在無辜者身上。
很同情他,但對其他人何嘗不是無奈。
@Danielfang82

中文
银座BOY retweetledi

与会嘉宾之一:林培瑞(Perry Link)|普林斯顿大学荣休教授。著名中国语言文学学者,曾任美国国家科学院中国学术交流委员会北京办事处主任。1988年结识方励之,并与其保持深厚友谊。图1是 2010年12月林培瑞与方励之在刘晓波获得诺贝尔和平奖颁奖仪式上的合影


擦星星事务所 Star Shiner@starshiner2023
斯坦福大学胡佛研究所“美国、中国与世界”项目诚邀您参加纪录片放映与专题讨论活动——《说真话的人》(The Man Who Told the Truth),共同回顾中国著名天体物理学家、人权与民主倡导者方励之的思想与人生。 📅 时间 2026年4月3日(星期五) 下午 4:30 – 6:00(太平洋时间) 📍 地点 斯坦福大学 George P. Shultz Building Shultz Auditorium 本场活动语言是英语 The program will be conducted in English.
中文

這個張雪就一土包子,好奇牠招聘機電或機械或動力工程師的時候,分的清優劣嗎?😅
台灣都出張忠謀、黃仁勛、蘇姿丰等科學家型資本家,中國大陸盡他媽出張雪、曹德旺等土包子型資本家。
中國真的是小人得志,劣幣驅逐良幣的糞坑社會😅😅。
勃勃OC@bboczeng
一家机车技术公司,从上到下的管理人员都不懂技术,得靠这个抽烟的老男人心算,口述,与会人员还拿着笔记本做笔记 这车真的能开吗?不会2028年就倒闭了吧😅😅😅
中文

@Dontbesadforit 對的,我說過無數次了,各個高校的馬克思主義學院就類似於黑暗歐洲中世紀大學的神學院,過去中世紀強迫學生信耶穌,現在中國共產黨要強迫學生信馬列。中國本質上跟中東那些神棍政教合一政權一路貨色。
中文










