Sabitlenmiş Tweet
Mike Bramble
1.5K posts

Mike Bramble
@mbramble
Scientist. I use photons to study rocks across the Solar System. Remote sensing at extreme environments. Opinions expressed are my own.
Los Angeles, California Katılım Mart 2010
515 Takip Edilen480 Takipçiler

Abstract 2464:
Methane from below
Radiation from above
Altered icy worlds
#LPSC2023 @LPSCHaiku
English

@eamador My ears perked up on that comment too. There goes ~6% of the budget in the near future.
English

Abstract 2835:
Radiation strikes
Color centers start to show
A salty Ceres
#LPSC2022 #LPSCHaiku @LPSCHaiku
English

A bit different than my norm, I submitted an abstract to the Low-Cost Science Mission Concepts for Mars Exploration workshop. It's on looking into the martian chloride salt-bearing deposits as a target for a low-cost science mission. hou.usra.edu/meetings/lowco… #LowCostMars2022
English

We saw about 1 minute of the #DARTMission launch from our backyard! Congrats on your launch and have a pleasant voyage, DART!
English

@_DanOnTheMoon_ I think their website has been down for a month or two now. Have you tried the PDS's interface for the RELAB database? It has been my go-to for the past year or so for grabbing RELAB spectra. pds-speclib.rsl.wustl.edu/search.aspx?ca…
English

No #LPSC2021 abstract from me this year, sadly. The two projects I'm focusing on at the moment aren't quite ready for primetime.
English

@codydschultz If I recall, it has been signed out of the library since 2006. So I wouldn't wait for it to be returned! 😄
English

@codydschultz I have a scan of the first 84 pages of the chapter I'll send you in an email. After 84 pages I lost interest in scanning, haha.
English

@sixtysymbols There are parts of this video where Professor Moriarty makes me think of Feynman in 'The Pleasure of Finding Things Out'.
English

Professor Moriarty watches episode 5 of "the goop lab”
NEW VIDEO
youtu.be/EIyQcGyRXwg

YouTube

English

Abstract 2498:
Thermal emission
At cold, vaccum conditions
Bulk metal is key
#LPSC2020 #LPSCHaiku @LPSCHaiku
English

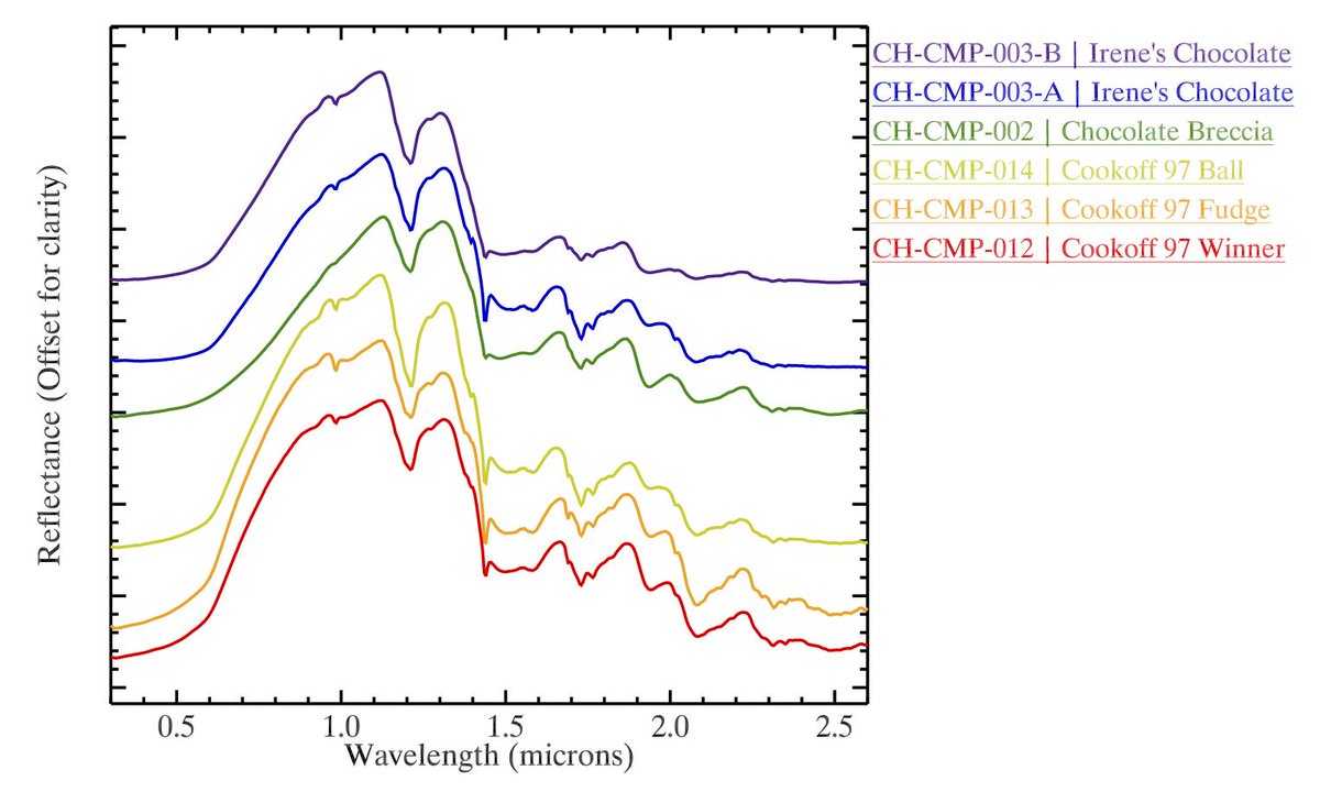
@viviano These are spectra of the winners from Carle's annual Chocolate Cake Cookoff! There was one year (or years) that the winning cake was brought into the lab to be measured. I know there are a few more interesting finds hidden in the RELAB database.
English




