Sabitlenmiş Tweet

Excited to announce the launch of my website for the Higher Education Advisory group (the HEA Group).
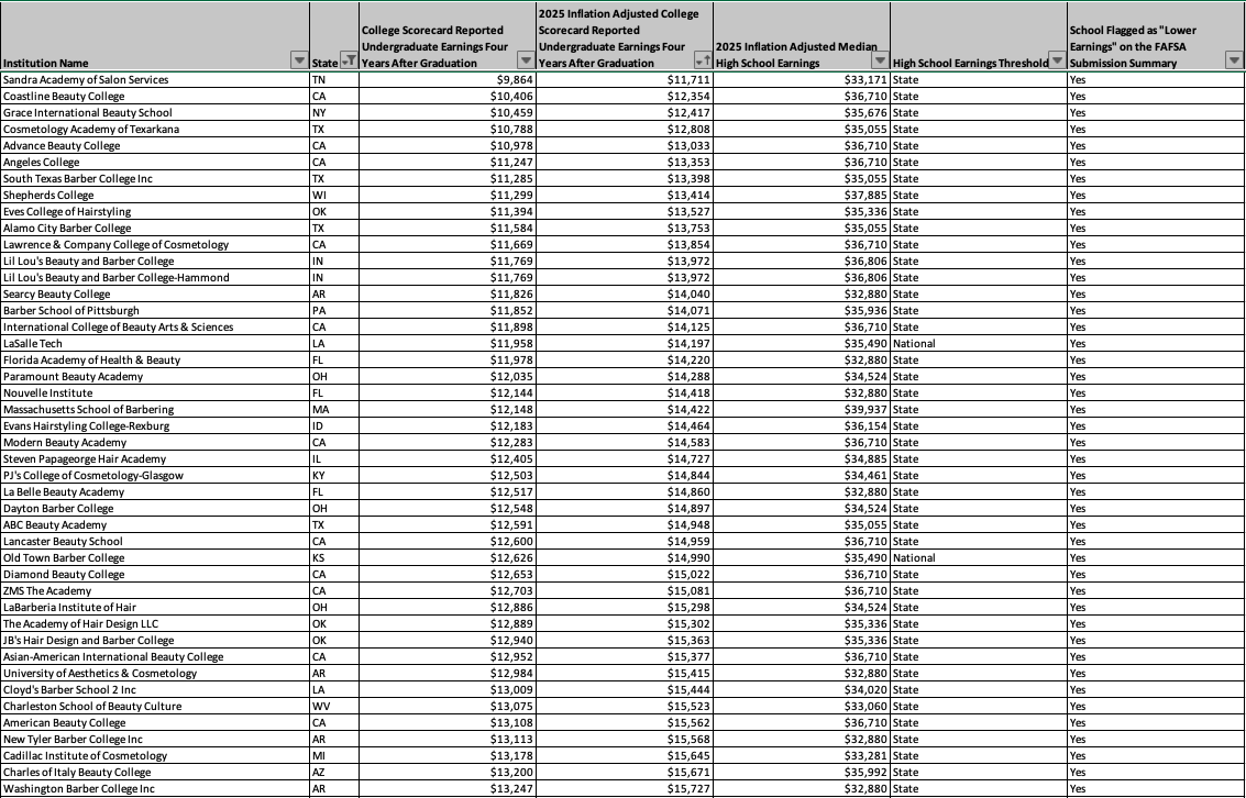
Are you a journalist, researcher, policymaker, or college administrator looking for easily accessible and downloadable datasets? I got you covered. 1/5
theheagroup.com
English



















