Morten Svarer Hansen retweetledi
Morten Svarer Hansen
64 posts

Morten Svarer Hansen retweetledi
Morten Svarer Hansen retweetledi

@moSth8 spoke to #BoneUp about the effect of semaglutide on bone mass - does weight loss lead to reduced bone strength? What can we do to prevent it? @richie_abel

English
Morten Svarer Hansen retweetledi

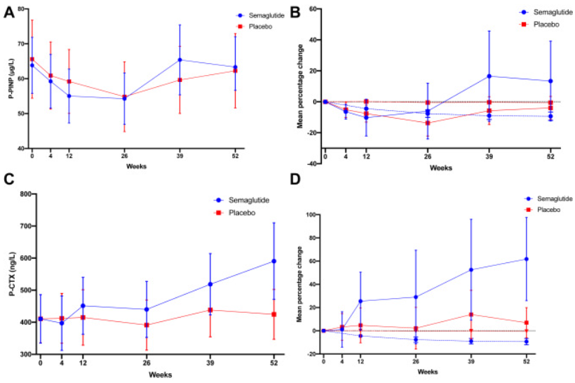
Once-weekly semaglutide versus placebo in adults with increased fracture risk: a phase 2 RCT
In adults with increased fracture risk, semaglutide once weekly did not increase bone formation based on bone formation marker P-PINP
thelancet.com/journals/eclin…
@moSth8
@frost_nielsen

English

I am happy to share our latest paper! In this randomised clinical trial, we investigated the skeletal effects of the GLP-1 receptor agonist semaglutide in women and men with increased fracture risk but without diabetes. @frost_nielsen @EfeOuh
sciencedirect.com/science/articl…
English
Morten Svarer Hansen retweetledi

Remember to sign up for our PhD course on metabolic bone diseases. Great speakers and mentors, industry session, and project development in the beautiful town of Odense. Join us! @DDEA_Denmark @frost_nielsen
English

This open-access publication is the result of combining great international collaborations with fantastic supervisors and some osteoclast genetic dust from The Bioinformaticians magic wand: nature.com/articles/s4141…
@frost_nielsen @RauchLabSDU @caroline_gorvin @KentSoee @KMEBLab
English
Morten Svarer Hansen retweetledi

➡️Join us for the next ISBM ECI webinar: Bone and emerging incretin-based treatments for T2D and obesity with Prof. Morten Frost, JAN 25. 🦴🏋️ @frost_nielsen Register here: aarhusuniversity.zoom.us/meeting/regist…

English
Morten Svarer Hansen retweetledi

Prof Alex Comninos from @ImperialMDR givingbhis outstanding teaching award lecture #bes2023 @Soc_Endo

English
Morten Svarer Hansen retweetledi
Morten Svarer Hansen retweetledi

Our latest publication in @JBMRPlus reveals that fracture rates declined in Danish men with #T1D and #T2D, and in Danish women with #T2D. The decline may be attributable to improved #diabetes management.
#epidemiology #fractures #diabetes
doi.org/10.1002/jbm4.1…

English

@Peter_Aldiss @UoN_BDI @NottmBRCLiverGI Fantastic, Pete. Congrats! Hope the cortado does you well in Nottingham.
English

Amongst a mass of induction crap, grants, ethics and papers to write I completely forgot...
I'm now a Junior Group Leader and Nottingham Research Fellow at @UoN_BDI & @NottmBRCLiverGI 🎉🎉

English
Morten Svarer Hansen retweetledi

Morten Svarer Hansen retweetledi

Congratulations to Rowan Hardy, @RowanSHardy1, who has been promoted to Associate Professor!! Well done Rowan!! 🎉🥳👏💪

English
Morten Svarer Hansen retweetledi
Morten Svarer Hansen retweetledi

#PRESS Novo Nordisk product reduces the risk of major adverse cardiovascular events by 20% in adults with overweight or obesity in trial
English
Morten Svarer Hansen retweetledi

Congratulations to Dr @RowanSHardy1 who has received a UoB award for excellence in postdoctoral supervision. Rowan said, "Thank you to the past and present fantastic students who nominated me for the postdoctoral supervision award". Well done Rowan! #postdoc @UoBMDSPostGrad

English
Morten Svarer Hansen retweetledi

@AniaJastreboff #ADA2023 presents the primary efficacy data for #weightloss for the Glucagon-GLP-1-GIP receptor tri-agonist for PPL with #obesity over 24-48 weeks. Starting BMI 37.3 @ADA_DiabetesPro @AmDiabetesAssn Up to 24% weight loss

English






