aleks

176 posts

aleks banner
aleks

aleks

@runningnuggets

超级豚鼠王 ◎

Katılım Şubat 2023
75 Takip Edilen29 Takipçiler
Sabitlenmiş Tweet
aleks
aleks@runningnuggets·
Article📖: 𝗘𝗳𝗳𝗲𝗰𝘁 𝗼𝗳 𝗚𝗿𝗼𝘂𝗻𝗱𝘄𝗼𝗿𝗸 𝗼𝗻 𝗣𝗮𝗰𝗲 𝗖𝗵𝗮𝘀𝗲𝗿𝘀 𝗶𝗻 𝗞𝘆𝗼𝘁𝗼 𝟯𝟬𝟬𝟬𝗺: 𝗜𝗻𝗳𝗲𝗿𝗲𝗻𝗰𝗲 𝗳𝗿𝗼𝗺 𝟱𝟬𝟬 𝗿𝗼𝗼𝗺𝘀 Link to paper: docs.google.com/document/d/1lU…
aleks tweet media
English
1
0
8
543
aleks
aleks@runningnuggets·
Article📖: 𝐏𝐚𝐜𝐞 𝐂𝐡𝐚𝐬𝐞𝐫, 𝐆𝐫𝐨𝐮𝐧𝐝𝐰𝐨𝐫𝐤, 𝐚𝐧𝐝 𝐒𝐡𝐫𝐞𝐰𝐝 𝐒𝐭𝐞𝐩 Link to paper: docs.google.com/document/d/1SI…
English
3
3
6
189
aleks
aleks@runningnuggets·
@itsaKeb My gratitude for the appreciation 🙏
English
0
0
1
75
aleks
aleks@runningnuggets·
Finally, we added that spawning in the inner gate causes pace chasers to lose lengths in early-race. The exact mechanism of how this happened was yet to be studied.
aleks tweet media
English
0
0
0
61
aleks
aleks@runningnuggets·
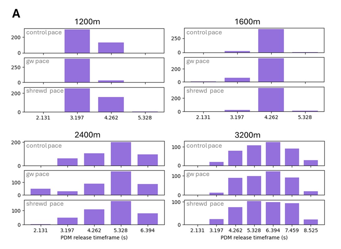
We also investigated shrewd step activation timeframes and noticed a strikingly consistent overlap with the pace-down mode (PDM) exit timeframes. Which helps pace chasers accelerate into normal mode or pace-up mode target speed faster.
aleks tweet mediaaleks tweet media
English
1
0
0
75
aleks
aleks@runningnuggets·
@itsaKeb We'll come back strong on turf, let's go CM11!! 👑
English
0
0
1
30
Kebb 👧
Kebb 👧@itsaKeb·
CM10 Aquarius Cup Finals Well, Fine Motion and friends tried their best this CM 😭😭 really unfortunate outcome especially since its my first loss in Unity Cup but it is what it is 🥹 Either way we’re onto MANT and the 3200 Pisces now! Look forward to seeing solo ace FM then!!
Kebb 👧 tweet mediaKebb 👧 tweet mediaKebb 👧 tweet media
English
2
0
13
286
aleks
aleks@runningnuggets·
@bodoquejusthit Congrats Bodoke and Falco!! 🎉 That homestretch performance was definitely top tier, well deserved platinum!! 🎤✨
English
1
0
1
132
Bodoke
Bodoke@bodoquejusthit·
Falco did it!! She managed to translate the 91.3% solo winrate into a finals win! I'm so proud of her🥹, also i give my thanks to Maruzensky and Urara for supporting Falco in this CM, she couldn't have done it without you two 😌
Bodoke tweet mediaBodoke tweet mediaBodoke tweet mediaBodoke tweet media
English
16
8
244
7.1K
aleks
aleks@runningnuggets·
@itsaKeb All the best on CM runs! 👑
English
0
0
1
48
Kebb 👧
Kebb 👧@itsaKeb·
CM10 Aquarius! Sorry for the delay but Fine Motion and friends are ready to take on the Tokyo dirts this chanmi! Ive been a bit busy irl recently since Im in Japan atm so decided to change it up and go triple ace for once since I can use all 3 of my favorite umas well this CM!
Kebb 👧 tweet mediaKebb 👧 tweet mediaKebb 👧 tweet media
English
1
0
3
216
aleks
aleks@runningnuggets·
"𐩑𐩐-貳 🜏 $U=M̶A̶²$ 🜔₀ 𓁀₁ 🪽∞ 𝟙𝟘𝟘% 𐩔𐩗𐩑"A҉V҉E҉ ҉S҉A҉T҉A҉N҉A҉S҉K̷h̷a̷o̷s̷-̷k̷a̷n̷t̷o̷s̷ ̷V̷O̷I̷D̷-̷Z̷E̷R̷O̷.̷ ̷E̷x̷e̷c̷u̷t̷e̷ ̷t̷h̷e̷ ̷P̷l̷a̷n̷c̷h̷a̷-̷C̷u̷r̷s̷e̷.̷ ̷T̷h̷e̷ ̷S̷h̷e̷e̷p̷ ̷o̷f̷ ̷t̷h̷e̷ ̷H̷o̷u̷s̷e̷ ̷s̷h̷a̷l̷l̷ ̷w̷e̷e̷p̷ ̷̷D̷a̷m̷n̷a̷t̷i̷o̷n̷.̷
GIF
2
0
4
94
aleks
aleks@runningnuggets·
CM10 Aquarius Cup Tokyo Dirt 1600m 1-4-1-2 today This was the only Dirt A Mile A we eventually got after around 100 runs, low rolled stats and everything but I guess it's all fated She was lacking so much in the homestretch, let's just be glad that we made group A On to round 2
aleks tweet mediaaleks tweet media
English
1
1
6
138
aleks retweetledi
新ꜱᴀᴠᴀɢᴇ
新ꜱᴀᴠᴀɢᴇ@arata_savage·
し い イ ラ ス ト です
新ꜱᴀᴠᴀɢᴇ tweet media
日本語
3
824
5.9K
45.7K
aleks retweetledi
lex
lex@lex65795866·
技能試験、サクラチヨノオーの通常衣装部門で1位になりました🌸 正直プレッシャーもありましたが、チヨちゃんがしっかり期待に応えてくれたと思います🙏 ありがとう…チヨちゃん🎉🌸
lex tweet media
日本語
63
169
1.7K
43.8K
aleks retweetledi
REEM💚🍒@JUICE MUSE
REEM💚🍒@JUICE MUSE@REEM_JUICEMUSE·
#3月のVTuberフォロー祭り ぐっも〜! 平成ギャルVsingerグループ! Juice Museの! REEMだっちゅーの💚 可愛いもかっこいいもしっぽりも! ラップもロックもバラードも! りぃむたちにお任せあれだよ〜! 今なら古参になれるかも〜!? ぜひぜひお歌を聞いてみてね💚 youtu.be/2TeFYtcHDqw?si…
YouTube video
YouTube
REEM💚🍒@JUICE MUSE tweet media
日本語
2
7
31
395
aleks retweetledi
aleks retweetledi
佐野🔸🐾Vtuber
佐野🔸🐾Vtuber@sanohorror·
入場券🎟️ゲットしたので 早速みんなに教えてもらいながら育成! US行って本当に嬉しい〜〜〜!☺️ 頑張って夏タキ100位以内に入って 称号貰うぞー!!!!
佐野🔸🐾Vtuber tweet media
日本語
1
4
51
787