Sabitlenmiş Tweet
Ryan LaRose
451 posts

Ryan LaRose
@ryanmlarose
Assistant Professor in the Center for Quantum Computing, Science, and Engineering @michiganstateu.
Katılım Nisan 2018
665 Takip Edilen2.3K Takipçiler

The Quantum Motor City summer camp for high school students returns, this time supported by NSF! For contacts around Michigan/the midwest, please share with a student, parent, teacher, or school district who may be interested: etap.nsf.gov/award/8486/opp…

English

Undergraduates looking for research opportunities can now apply to ACRES at MSU: etap.nsf.gov/award/6370/opp…
I'm looking forward to supervising a talented student in new algorithms and HPC strategies for simulating noisy, large-scale quantum circuits!

English

From the great mind of Dean Lee and collaborators, we introduce resolution refinement for initial state preparation of quantum many-body systems on quantum computers: arxiv.org/abs/2511.14732

English

I think it's really awesome and in the spirit of open science for IBM to host events like the Quantum Developer Conference and provide access to state-of-the-art quantum hardware: thank you @IBM on behalf of the community!

English

Now in PRA, working to squeeze the most out of quantum computers with the fewest resources, utilizing fine-grained commutativity properties in what we call k-commutativity: journals.aps.org/pra/abstract/1…
(And still open access on arXiv: arxiv.org/abs/2312.11840)

English
Ryan LaRose retweetledi

Our group is looking to hire postdocs to work at the intersection of quantum computing, quantum algorithms, quantum machine learning, simulation of many-body quantum systems and early-fault tolerant quantum computing
Apply here:
lanl.jobs/search/jobdeta…
Re tweets appreciated!
English

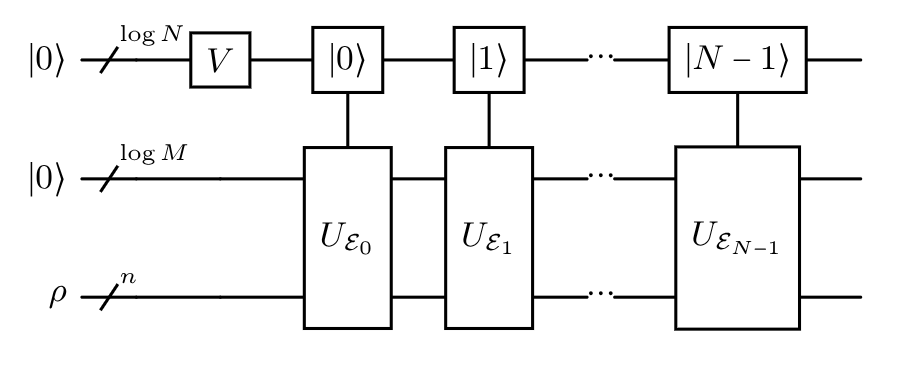
This works via a new circuit to implement convex combinations of channels, which we expect to have applications in other areas
Paper: arxiv.org/abs/2510.10905

English

Smooth campaign! Thank you @qbraid_official, we will put both the chalk and the compute time to good use!

English

MSU students/faculty can join us every week for pizza, pop, and QIS, and anyone can join for virtual talks - see more info and sign up to our mailing list at sites.google.com/msu.edu/quic-s…
English

Celebrating seven years of the QuIC Seminar @msuqis by kicking off the eighth! Now a course with over 20 undergrads + grads enrolled and a great lineup of speakers, we're starting off with an introduction to QIS by my very own PhD student Jean Paul

English

Thanks to our project partners @JavaFXpert & Brian I & @BradleyHolt / @IBM Quantum, @nick_farina / @QCHardware, Megan Schrauben / @MichiganLEO, LaShawn Sims / Detroit Public Schools, and MSU colleagues @unhappyfinn and @yadavaman! For more: ryanlarose.com/quantum-motor-…
English

Thanks to @NSF for supporting Quantum Motor City! With government, industry, & education partners, we will create a pathway for high school students from Detroit/Michigan to strengthen the quantum workforce, and share our camp as a model for others to implement

English

For Detroit/Michigan contacts, we're now accepting applications for the 2025 Quantum Motor City summer camp July 9 - 11 at Michigan State University - please share with any interested high schools / students / districts! ryanlarose.com/quantum-motor-…

English

Really excited to engage in the friendly Phase 3 competition to run large-scale quantum algorithms on hardware, pushing the limits of what is possible in biology and health with quantum technology
Wellcome Leap@WellcomeLeap
Announcing Phase 3 awards in our Quantum for Bio Supported Challenge Program aimed at accelerating the applications of quantum computing in human health. Congratulations! wellcomeleap.org/q4bio/program/
English






