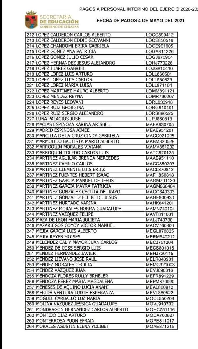
@Edu_Chis da a conocer la relación de docentes interinos de los ejercicios 2020-2021, que recibirán su pago el día 4 de mayo.
Cualquier información será publicada en las cuentas oficiales de esta Secretaría.
educacionchiapas.gob.mxes-la.facebook.com/SEChiapas/
Gracias @SEyD_Chih ‼️ Remite SEyD de Chihuahua oficio al titular de USICAMM Nacional poniéndose del lado de docentes del FAMD para que Proceso de Admisión 20-21 concluya acorde a los Criterios Excepcionales originales elpuntero.com.mx/inicio/2021/04… a través de @El puntero
@lopezobrador_ NO ESTAMOS EN DESACUERDO CON LA EVALUACIÓN‼️ NO QUIERO QUE SE ME REGALE MI PLAZA‼️ Quiero ser evaluad@ con los lineamientos que se establecieron anteriormente, se acordó que solo a los de vacante definitiva y así se debe hacer. #CertezaLaboralSEP#NoALasNuevasDispocisiones
En beneficio de las y los trabajadores acordamos mejorar el reparto de utilidades y reglamentar la subcontratación. Conferencia matutina. twitter.com/i/broadcasts/1…
NO ESTAMOS EN DESACUERDO CON LA EVALUACIÓN‼️ NO QUIERO QUE SE ME REGALE MI PLAZA‼️ Que se respeten los lineamientos que se establecieron anteriormente. Examen solo a los de vacante definitiva. Proceso de admisión 20-21 #CertezaLaboralSEP#NoALasNuevasDispocisiones
@lopezobrador_ Queremos ver su apoyo a los maestros del proceso 2020-2021. No nos negamos a ser evaluados. Sólo que Usicamm respete sus lineamientos de los criterios excepcionales anteriores, de que sólo plazas vacantes definitivas por tiempo fijo presentarían la evaluación.