
Yang Shi
53 posts









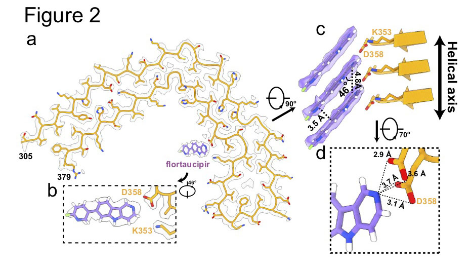
Tomorrow, I will be speaking with my collaborators @sy31802 and Sofia Lövestam from @SjorsScheres and @MichelGoed labs @MRC_LMB on their recent work using #cryoEM to look at neurodegenerative diseases 🧠🔬. Join us through the link below. labroots.com/ms/webinar/tal…




Introducing #AlphaCode: a system that can compete at average human level in competitive coding competitions like @codeforces. An exciting leap in AI problem-solving capabilities, combining many advances in machine learning! Read more: dpmd.ai/Alpha-Code 1/




Co-first authorship order was determined through a mushrooming contest. 😂 academic.oup.com/nar/advance-ar…

It feels a bit like science fiction to enjoy this @IMI2_NEURONET session @AlzheimerEurope's #31AEC. Now, Yang Shi @sy31802 is speaking about how they identified different tauopathies using Cryo-EM technology. Research, recently published in @Nature nature.com/articles/s4158…







