WongSSH
733 posts

WongSSH
@wong_ssh
Build https://t.co/Vv4120dWCb Solidity/Huff/Cairo/Taproot engineer
Katılım Kasım 2022
560 Takip Edilen5.2K Takipçiler

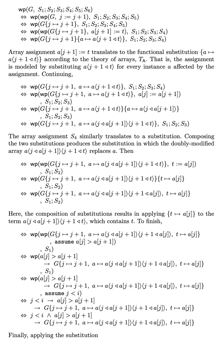
@QC76088918 理论上会有,我看看能不能写一个,AA VE v4 内部有很多有趣的形式化证明案例,基本都是为了避免模糊性,比如这个案例是证明 supply 和 remove 的互逆,这个不变量被打破就会导致经典的 Inflation Attacks。
单元测试或者 fuzz 永远不是证明,但是按照数学逻辑推理一定会得到正确结论。

中文

@wong_ssh 会有形式化证明一些合约代码的案例吗?
期待,之前有看过 weth 的形式化证明,不过我对形式化验证不太理解,没看懂形式化证明在干什么,形式化验证给我一种感觉像是更高级的单元测试
中文

@ByteRamble @woaidaxiong123 @guil_lambert 你是指理论模型还是实际操作,我记得理论模型是不考虑 rebalance 的滑点问题的,这个研究的后续是去 panoptic 捡垃圾,在 panoptic 内借入低价 LP 同时卖出 LP,构建收益结构类似价差的期权组合。
中文

@0xkaka1379 @z0r0zzz 这个攻击方法还挺著名的,Uniswap v4 router 内全是内联汇编解析 calldata,但是都做了校验
github.com/Uniswap/v4-per…

中文

昨天 @z0r0zzz 开发的uniswapv4 优化路由合约遭到了攻击,一用户损失了42k USDC。
在本次事件分析中,也新接触到了一种攻击面——“ABI偏移篡改”攻击。
在claude的辅助下,写了篇文章进行记录。
@0xkaka1379/ABIOffsetManipulation" target="_blank" rel="nofollow noopener">hackmd.io/@0xkaka1379/AB…
中文

@jeffishjeff 链接:
@wongssh/uniswap-v2" target="_blank" rel="nofollow noopener">hackmd.io/@wongssh/unisw…
中文

最近受邀和 @jeffishjeff 录制一个关于 Uniswap 的系列课程,趁此把 Uniswap 全系列的合约再过一篇。
我在此前一直没有完整读过 Uniswap v2,此次把 v2 完整读了一遍并且写了 1 万字的稿件。内容涉及的非常广泛,还包含大量外部链接指向拓展内容,对刚刚学会 solidity 语法的学习者也许是一份好材料

中文
















