ทวีตที่ปักหมุด

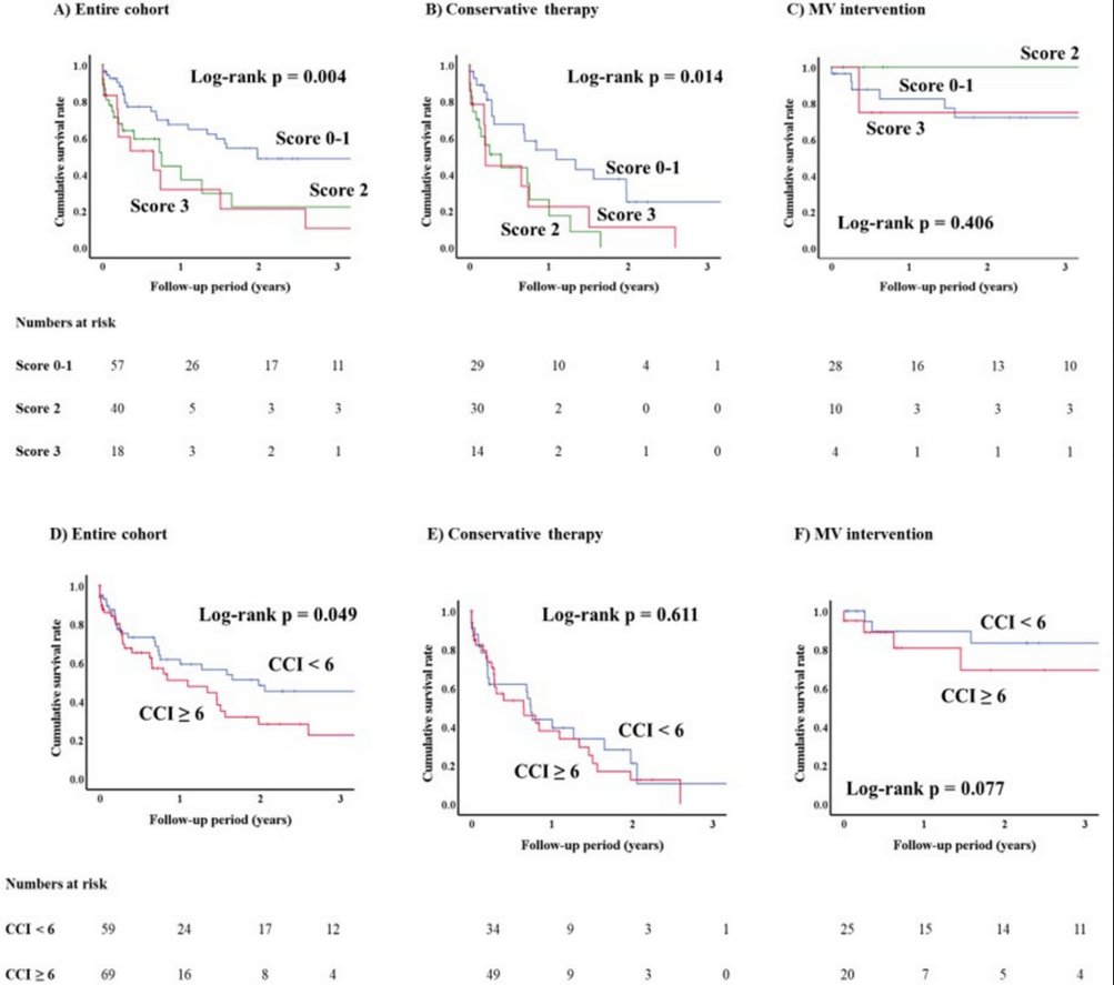
Excited to share our work on prognostic value of our novel CT based mitral annular calcification score in mitral valve surgery
@CleClinicHVTI @CCFcards @AskDrMarc @ShinyaUnai_MD @HElgharablyMD @BrianGriffinMD @ESC_Journals @EHJIMPEiC #YesCCT
academic.oup.com/ehjimp/article…

English

































