Joseph C.

267 posts

Joseph C. banner
Joseph C.

Joseph C.

@JCollement

Lawyer, CLO, and Head of News at https://t.co/aP8SBLDBZn.

เข้าร่วม Nisan 2021
168 กำลังติดตาม444 ผู้ติดตาม
ทวีตที่ปักหมุด
Joseph C.
Joseph C.@JCollement·
In 2018, I left my cushy law job to work in crypto. I accepted any gig I could to be involved in the space like fixing S9s. Fast forward 4 years, I’m counsel to one of the greatest crypto company in the world @BitcoinCom. I’m thankful for all the people who helped me get there 🙏🏻
English
18
10
212
0
Joseph C.
Joseph C.@JCollement·
@siimland Love it. That being said, prob. less than 0.5% of pop can do 3x250m all-out sprints at 3 min intervals without heart palpitations or blowing an hamstring.
English
0
0
1
791
Siim Land
Siim Land@siimland·
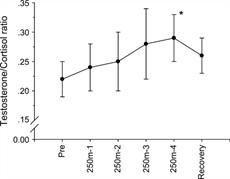
Sprinting 4 × 250m (3 min rest between sprints) increased testosterone by ~20–30% in young men. Interestingly, cortisol didn’t rise. Growth hormone increased by ~15–17×, and IGF-1 binding proteins decreased. Sprinting = free anabolic stimulus Sprinting is one of the best exercises you can do: youtu.be/hy6ynfjYsIs PMID: 19057403
YouTube video
YouTube
Siim Land tweet media
English
84
383
4.6K
1.1M
retard mode ✞
retard mode ✞@retardmode·
Canada is live with 25 data layers 🇨🇦 seemed like a lost cause to me but maybe this will open people’s eyes what i should add/remove/change? australia, italy, spain, france and germany coming soon find some peaceandquiet.io/canada eh
retard mode ✞ tweet mediaretard mode ✞ tweet media
English
312
444
5K
650.4K
Alex Jones
Alex Jones@RealAlexJones·
HOT MIC: Les Wexner's Attorney Was Caught On A Hot Mic Silencing The Epstein Coconspirator Telling Him, “I'll Fucking KILL YOU If You Answer Another Question With More Than Five Words” @HarrisonHSmith
English
141
1.1K
5.1K
235.7K
Joseph C.
Joseph C.@JCollement·
@bennyjohnson If true, Wexner's lawyer needs to be immediately investigated by his bar association, disciplined, and hopefully barred from practicing law again.
English
0
0
0
139
Benny Johnson
Benny Johnson@bennyjohnson·
🚨HOT MIC: Les Wexner’s attorney during his House Oversight Committee deposition: “I’ll fucking kill you if you answer another question with more than five words, ok?”
English
1.2K
9.9K
48.5K
3.6M
Joseph C. รีทวีตแล้ว
Paris Blockchain Week
Paris Blockchain Week@ParisBlockWeek·
Where do the people controlling trillions go to have conversations that actually matter? At #ParisBlockchainWeek, they'll be at Château de Versailles. An evening where most influential leaders in traditional finance and digital assets will sit down for dinner in the palace where kings once ruled. This is the most curated room in institutional digital assets! Past attendees have closed funding rounds, secured enterprise partnerships, and built relationships that compounded for years, because they were in the right room at PBW. If you're building at institutional scale, raising capital, or positioning for what comes next, this is non-negotiable. Which other event gives you two days at the Louvre with 10,000 leaders, and one night at Versailles with the biggest names in the ecosystem who actually decide what happens next? VIP MAX access is limited. Secure your place before the room closes. Secure your VIP MAX ticket now: parisblockchainweek.com/tickets
English
20
35
97
13.1K
Joseph C.
Joseph C.@JCollement·
@_dsencil I'll take you guys around and show you the real Paris 😎
English
0
0
1
10
David
David@_dsencil·
I'm really looking forward to PBW. The Media team will be there, our first major European media event.
Paris Blockchain Week@ParisBlockWeek

Where do the people controlling trillions go to have conversations that actually matter? At #ParisBlockchainWeek, they'll be at Château de Versailles. An evening where most influential leaders in traditional finance and digital assets will sit down for dinner in the palace where kings once ruled. This is the most curated room in institutional digital assets! Past attendees have closed funding rounds, secured enterprise partnerships, and built relationships that compounded for years, because they were in the right room at PBW. If you're building at institutional scale, raising capital, or positioning for what comes next, this is non-negotiable. Which other event gives you two days at the Louvre with 10,000 leaders, and one night at Versailles with the biggest names in the ecosystem who actually decide what happens next? VIP MAX access is limited. Secure your place before the room closes. Secure your VIP MAX ticket now: parisblockchainweek.com/tickets

English
1
0
1
71
Joseph C. รีทวีตแล้ว
Bitcoin.com News
Bitcoin.com News@BitcoinNews·
eToro CEO @yoniassia on discovering Bitcoin: “When I saw Bitcoin for the first time, I was like, Okay, this is how finance should work. … We actually started buying Bitcoin for eToro in Mt Gox at like $5 and $7 and $10.” @eToro | @graminitha1 at @bitcoinmenaconf
English
41
27
107
18.3K
Joseph C. รีทวีตแล้ว
Bitcoin.com News
Bitcoin.com News@BitcoinNews·
At @BlLife_Forum, @JCollement spells it out: crypto “regulation” isn’t really about consumers — it’s about politics. 🎙️ @Bitcoincom CLO Joseph Collement breaks it down. 🔽
English
22
25
52
50.2K
Joseph C. รีทวีตแล้ว
Bitcoin.com News
Bitcoin.com News@BitcoinNews·
At @BlLife_Forum, @JCollement drops a 🔥 reminder: 🌐 Geographic arbitrage is freedom. France’s near-miss with worldwide taxation almost trapped expats overnight. 🎙️@Bitcoincom CLO Joseph Collement has the insights.
English
11
12
30
44.3K
Joseph C. รีทวีตแล้ว
Bitcoin.com News
Bitcoin.com News@BitcoinNews·
At @BlLife_Forum, @JCollement goes deep on the real risk behind CBDCs and digital IDs: total financial surveillance. Freeze your account, track every purchase, penalize your “carbon quota” — all at the flip of a switch. @BitcoinCom's CLO breaks it down. 🎙️
English
21
21
62
52.9K
Bitcoin.com News
Bitcoin.com News@BitcoinNews·
🎙️ @BitcoinCom’s CLO @JCollement took the stage at #BlockchainLife2025 in Dubai, alongside the Cardano Foundation’s CEO and leaders from Trust Wallet, Mastercard, and BingX, to discuss the future of blockchain innovation and global adoption.
Bitcoin.com News tweet mediaBitcoin.com News tweet media
English
17
9
39
14.1K
Joseph C. รีทวีตแล้ว
Bitcoin.com
Bitcoin.com@BitcoinCom·
Being Crypto Native means embracing the freedom to build without asking for permission, guided by the conviction that open, decentralized systems can outcompete legacy structures that no longer serve innovation. @JCollement
Bitcoin.com tweet media
English
5
12
24
1.2K