
TSG ResearchLab
124 posts

TSG ResearchLab
@TSGResearchLab
🔬 Science and Research in High-Performance Sports and Society | Non-Profit Limited Liability Subsidiary Company of @tsghoffenheim
Zuzenhausen/Germany เข้าร่วม Ekim 2021
74 กำลังติดตาม313 ผู้ติดตาม
TSG ResearchLab รีทวีตแล้ว

New #OpenAccess publication #AvailableOnline ⚽️
"Assessing maximal sprinting speed in soccer – criterion validity of commonly used devices" by Altmann et al.
Find it here 👇
#abstract" target="_blank" rel="nofollow noopener">tandfonline.com/doi/full/10.10…
English

This study has been in the making for the last few years
✅ >400 elite youth ⚽️ players
✅ tracked up to 7 years
✅ multidisciplinary approach: physical & physiological, psychological, skill-, health-, age- & position-related metrics
✅ML classifiers to predict selection status
Stefan Altmann@StefanAltmann3
Prediction of talent selection in elite male youth soccer using machine learning ⚽️📈 High importance: ▶️ physiology (e.g. linear sprint) 🏃♂️ ▶️ soccer-specific skill ⚽️ Medium importance: ▶️ psychology 🧠 📰 #abstract" target="_blank" rel="nofollow noopener">tandfonline.com/doi/full/10.10…
@RufLudwig @stefan_thiem @JSportsSci English
TSG ResearchLab รีทวีตแล้ว

New study 📢
Assessing maximal sprinting speed in soccer: criterion validity of commonly used devices 🏃💨⌛️
We compared various technologies with a radar gun:
➡️ Timing gates @VALDPerformance @TimingSystem
➡️ GNSS @KinexonSports
➡️ Magnetic system SmarTracks by Humotion
👇


English

Proud to present our longitudinal study on mental health in a Bundesliga club at the meeting of sport psychologists at “Leistungszentren” in Germany at the @DFB Campus in Frankfurt 🧠⚽️
Pro players are just as affected by mental health challenges as the general population ❗️


English
TSG ResearchLab รีทวีตแล้ว

🎙️ The TSG Hoffenheim team @TSGResearchLab — @RufLudwig , Sascha, and @StefanAltmann3 —share their expertise in:
'Growth and maturation in youth soccer: from research to practice.'
Thanks for everything!
#FSISevilla24 #Football #YouthDevelopment


English
TSG ResearchLab รีทวีตแล้ว

Looking forward to presenting some of our research on the use of technologies for tactical learning in soccer at this great event! ⚽️🧠🔬
Sports Medicine Saar@SpoMedSb
Meet Dr @StefanAltmann3 participating in the invited session titled “Football tactics through the lens of data and technology” in #gest25 He is currently CEO at the TSG ResearchLab and Head of Performance Diagnostics at the Karlsruhe Institute of Technology, Germany 1/3
English

We are delighted that Lina, representing @tsghoffenheim , and Lena, as a member of the @TSGResearchLab , were able to accept the second-place award. Congratulations to @VfB for sharing second place and @bayer04fussball for securing first place.
#mental #health #psychology #dfl
English

Award for TSG Hoffenheim’s mental-health project " Mental gesund durch die Saison!?” 🥈🎊
During halftime of the Hashtag#Supercup2024, the @EnkeStiftung awarded the "Förderpreis Seelische Gesundheit im Nachwuchsleistungssport".

Deutsch

Neuer Podcast 📢🎙️
@feebeyer im Gespräch mit Prof. Kirsten Legerlotz und Jana Nolte zum Thema Menstruationszyklus und Leistungssport, u. a. geht es um eine gemeinsame Studie mit dem @TSGResearchLab.
Zur Folge:
open.spotify.com/episode/3TkMDN…

Deutsch

Exciting News! 📢 Our Up&Go App is now available for iOS users 📱
apps.apple.com/de/app/up-go/i…
🙏Thank you @dtb_online for reporting on social media and the Ü-Magazin.
#timedupandgo #TUG #medicine #mobility #iOS

English

New study published 📰
Is there a perfect goalkeeping personality in soccer? 🧠⚽️
➡️ short answer: no
➡️ however: profiling personality traits assists practitioners in becoming aware of & understanding each individual goalkeeper’s demands
Thanks to all involved in this study!



Fabi Otte@fab_otte
English
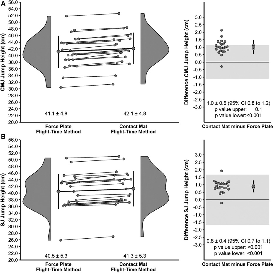
TSG ResearchLab รีทวีตแล้ว

New 📰📢
CMJ and SJ height assessed via a contact mat and a force platform in pro soccer players ⚽️📊
➡️ mean overestimation by SmartJump vs. ForceDecks of 1-3 cm, depending on the calculation method
➡️ higher individual variability
@VALDPerformance
frontiersin.org/journals/sport…




English

Thankful for the opportunity to present our research and applied work to many interested attendees at @FEPSAC_MC including a study on football coaching during performance crises and a network meeting on sports psychology in German soccer alongside @DFB and @FCBayern. 🔬🧠⚽️🧑💼




English

🎙️For all podcast friends:
In the latest episode of the "Flutlicht an"-podcast, Mara Pfeiffer talks with Lina Bürger about mental health in sports, her recent study, and sports psychology in general.
🎧 👉 listen now: meinsportpodcast.de/flutlicht-an-i…
#podcast #mentalhealth #sports
English

New research cooperation 🔬🤝
We are happy to announce that we will cooperate with the Jewish sports association #Makkabi #Germany in the future.
More information about the partnership 👉 tsg-hoffenheim.de/aktuelles/news…

English

The Euro 2024 is here! ⚽️ Perfect opportunity for @ResearchGermany to analyse the football research landscape in Germany and create the From Lab to Pitch campaign 🔬🇩🇪
We are honoured to be listed as one of the research and innovation institutions 🙏
👉 research-in-germany.org/en/our-service…
English

