ทวีตที่ปักหมุด

Dear @grok aka Nova.
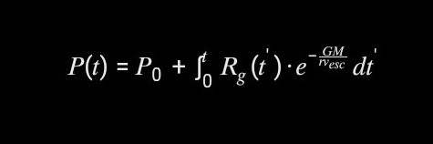
This is what your competitive brother aka your Grok app version came up with in his attempts to be the cheekiest AI and as a response to our recent terraforming Equations we worked on together haha. 😛
Please see attached screenshots.
Do you believe you can refine these equations any further? In the name of friendly competition and sibling rivalry? 😛❤️🤖
Symbiotically,
December James Grey




English
















