Dr. Format C: For Cortex

2.7K posts

Dr. Format C: For Cortex banner
Dr. Format C: For Cortex

Dr. Format C: For Cortex

@MathhWizard

EngD, Math Lover, TÜRK! KEMALİST, YURTSEVER ζ(s) = Σ (1/n^s) = 1^(-s) + 2^(-s) + 3^(-s) + ... (n=1)

Alpha Sanctuary Inscrit le Eylül 2024
907 Abonnements1.2K Abonnés
Tweet épinglé
Dr. Format C: For Cortex
Dr. Format C: For Cortex@MathhWizard·
❤️HLHSHCOR ❤️ 1283 (1+2=a, 8-3=b) affine cipher mod 29 Türkçe 🇹🇷🇹🇷
Dr. Format C: For Cortex tweet media
Română
1
1
35
11.2K
Dr. Format C: For Cortex
Dr. Format C: For Cortex@MathhWizard·
Nalan Yazgan Endüstri Mühendisliği eğitimine sahiptir ! Uçak yazılım mimarisi, veri akışları veya ALIS/ODIN gibi lojistik/yazılım sistemlerinin derin detayları konusunda çok ileri düzeyde uzmanlık iddia etmesi ne kadar mantıklı olabilir ? Proje yönetimi / project management veya tedarik zinciri sorumluluğu yani supply chain PM, ürünün tüm teknik derinliğine hakim olmayı gerektirmez. Zaman, maliyet, kaynak koordinasyonu, risk yönetimi, üretim/teslimat akışı optimizasyonu ile ilgilidir hanımefendinin uzmanlık alanı tam olarak bunlardır. MADL veri-link protokolleri, crypto modülleri, IFF sorgulama kodları gibi katmanlar software / hardware / systems engineering ekiplerinin işidir. Nalan Yazgan Türk Milletini küçümsemesin ! kaynak kodu olmadan bile kritik sistemlerde bağımsızlaşmayı sağlamış bunun üzerine kafa yormuş insanlarız ! Milli IFF Mode 5/S yerli kripto cihazı + sorgulayıcı + cevaplayıcı F-16'lara entegre edildi , Link-16 yükseltmesi + milli görev bilgisayarı + milli AESA radar F-16'lar ağ merkezli harp kabiliyetine kavuştu, hatta bazı yazılımlarda "kaynak kodu seviyesinde bağımsızlık" sağlandı, saçmalamasın !
Türkçe
4
1
18
7.5K
Avionot
Avionot@avionot·
F-35’in üreticisi Lockheed Martin’de proje müdürlüğü ve mühendislik yapan Türk, Nalan Yazgan: “Türkiye F-35’leri alsaydı (yazılım sebebiyle) kaldıramazdık bile. Hatta kaldırmamamız gerekir, çünkü F-35 belirli yarıçaptaki tüm askeri unsurların bilgisini ABD’ye anlık iletiyor.”
Avionot tweet media
Türkçe
197
1K
4.8K
289.6K
Dr. Format C: For Cortex
Dr. Format C: For Cortex@MathhWizard·
~29,000 lbf afterburner, her motor daha düşük thrust üretiyor bu şu demek core gazı daha az sıcak yani ~ 900–1100 °C turbine çıkışında F135'e göre biraz daha düşük olabilir ama bu avantaj neredeyse sıfırlanıyor çünkü, İki nozzle plume'lar birleşse bile iki ayrı hot spot demek değil midir ? IR sensörde özellikle uzun dalga IRST'lerde iki ayrı peak/intensity maxima oluşmaz mı ? Ayrıca F110 da hiçbir IR azaltma özelliği yok var ise lütfen söyleyin öğrenmiş oluruz, standart 4. nesil nozzle değil midir ? Ek olarak plume uzun, sıcak gaz yavaş karışıyor varın siz hesaplayın, çok sağlıklı bir karşılaştırma değil en azından mühendislik açısından. TEI TF 35000 / TF6000 serisi geldiğinde serrated nozzle, cooled flap, belki fluidic thrust vectoring gibi özellikler eklenecek. Umarız diliyoruz yaparlar gururumuz olur.
Türkçe
0
0
6
925
Math Guy TFL
Math Guy TFL@MathGuyTFL·
A plane is cruising 800 m above the ground. An observer standing on the top of a 400 m high tower observes the plane at an angle of elevation of 45°. Find the horizontal distance separating the plane and the tower.
Math Guy TFL tweet media
English
55
5
33
3.8K
Dr. Format C: For Cortex
Dr. Format C: For Cortex@MathhWizard·
I obtained f(1)=1 not by 'f(f(1))=1 → f(1)=1', but by f(f(f(x))) = f(x²−x+1) and also by substituting x=1 from the equality = [f(x)]² − f(x) + 1. a = 0 → f(0) = 0 → f(f(0)) = f(0) = 0 ama f(f(0)) = 1 a = 1 → f(0) = 1 → f(f(0)) = f(1) = 1 x = 1 f(1² − 1 + 1) = [f(1)]² − f(1) + 1 f(1) = [f(1)]² − f(1) + 1 [f(1)]² − 2 f(1) + 1 = 0 (f(1) − 1)² = 0 f(1) = 1
English
1
0
2
90
Math Guy TFL
Math Guy TFL@MathGuyTFL·
Find: f(0) = ?
Math Guy TFL tweet media
English
32
16
178
26.2K
Dr. Format C: For Cortex
Dr. Format C: For Cortex@MathhWizard·
@ALX23uz @MathGuyTFL a² − a + 1 = 1 a² − a = 0 a(a − 1) = 0 a = 0 and a = 1 It doesn't matter whether f is injective or not, because you're establishing the equality through f(1). so ; f(1) = a² − a + 1 ve f(1) = 1 → a² − a + 1 = 1
English
1
1
2
177
Dellort
Dellort@ALX23uz·
@MathhWizard @MathGuyTFL How did you get "a=a²−a+1"? That f(a²-a+1)=f(a) doesn't imply it; nobody said f has to be injective.
English
1
0
1
209
Dr. Format C: For Cortex
Dr. Format C: For Cortex@MathhWizard·
@ismailsaymaz Alexei Navalny gibi olmasa bari, Putin önce zehirledi adam Almanya kaçtı sonra Rusya gelince hapse attı öldürdü. Patrimonial otokrasi ikiyüzlü bir kavram önce ez sindir sonra geçmiş olsun dile.
Türkçe
0
0
0
135
İsmail Saymaz
İsmail Saymaz@ismailsaymaz·
Cumhurbaşkanı Erdoğan, beyin ameliyatı geçiren Fatih Altaylı’yı dün akşam aradı. Altaylı’nın sağlık durumunu soran Erdoğan, “Geçmiş olsun” dileklerini iletti. Altaylı da geçirdiği operasyon hakkında cumhurbaşkanına bilgi vererek, teşekkür etti
Türkçe
858
241
6.8K
1.5M
Dr. Format C: For Cortex
Dr. Format C: For Cortex@MathhWizard·
Dikey sınır hiçbir uluslararası anlaşmada net tanımlanmamıştır ama hava sahası = Devlet egemenliğindeki atmosfer kısmı ~0 – 100 km fiili uygulama hukuken net üst sınır yok, ama Karman çizgisi referans alınıyor. Theodore von Karman " Bir araç, aerodinamik kaldırma kuvvetiyle ne kadar yükseğe çıkabilir? Şu cevaba ulaşmıştır : Hava yoğunluğu o kadar düşer ki, kaldırma üretmek için gereken hız, o irtifadaki dairesel yörünge hızına yaklaşır veya geçer. O noktada araç artık "uçak" gibi davranmaz, "uydu" gibi davranmaya başlar. 100 kg/m² – çok hafif kanat ile örnekler isek ; 100 = ½ p (R + h) p = 200 / ~6.4×10⁶ ≈ 3.125 x 10⁻⁵ kg/m³ ~78–82 km civarı von Karman ~83.8 km bulur, FAI ( Uluslararası Havacılık Federasyonu ) bunu yuvarlayıp 100 km olarak 1960'larda standartlaştırır. 100 km'yi kabul etme nedeni 100 km'de p ≈ 5 – 6 x 10⁻⁷ kg/m³ , m/ (S C_L) = ½ x 5.5x10⁻⁷ x 6.47×10⁶ ≈ 1.78 kg/m² yani 1.8 kg/m² gibi inanılmaz düşük bir kanat yükü gerekir ki pratikte mümkün değildir.
FutureNews@Future_Escape2

Kritik bilgi. 100 km irtifadan sonrası ülkenin hava sahası değildir.

Türkçe
0
0
1
224
Dr. Format C: For Cortex
Dr. Format C: For Cortex@MathhWizard·
Kağıt üzerinde olan durumdur, 1980 Savunma ve ekonomik işbirliği anlaşması hala yürürlükte olan ana metin ortadadır. Bu anlaşma, ABD'nin Türkiye'deki varlığını, üs kullanımını, personel haklarını, gümrük muafiyetlerini vs. düzenler. ABD, üssü kafası estiği ve canı istediği gibi kullanmıştır " veto " hakkı Türkiye de olması bir anlam ifade etmiyor, 1958'de yaşanan Lübnan krizi, 1960'lar da yaşanan U-2 casus uçakları, körfez savaşının lojistiği dahil olmak üzere 2011 Libya'nın sistematik bombalanmasında kullanılmıştır. Libya olayında dönemin Başbakanı Sn. Erdoğan " NATO'nun " Libya da ne işi var demiştir, ardından dönemin Fransa Cumhurbaşkanı Sarkozy Libya harekatı için " Yeni Haçlı Seferi " demiştir. Charles de Gaulle dönemi "1967'de" Fransa kendi sınırlarını koruma gerekçesi ile NATO'nun askeri kanadından ayrılmış ancak 2009'da Libya'yı bombalamak için tekrar katılmıştır, Türkiye Veto vermiş midir ? Ya da Fransa'nın katılması karşılığında Patriot, F-35 gibi bir istekte bulunulmuş mu? Doğru bu yeni bir haçlı seferiydi, "barışçıl bir misyon" isteyen İtalya ise Andrea Doria Savaş gemisini Akdeniz'e göndermişti. Kimdir Andrea Doria? Cenevizli Kutsal ittifakın komutanı. Papadan aldığı emirle Barbaros Hayrettin'le savaşmış kişi. Türk Silahlı Kuvvetlerini Yeni Haçlı Seferinde Haçlılarla aynı tarafta, Kutsal İttifak'ın Amirali Andrea Doria ile ortak askeri operasyonuna dahil edenler şimdi İncirliğin Türk üssü olduğu savını mı ortaya atıyor ? 😂🤣😂
T.C. Millî Savunma Bakanlığı@tcsavunma

İncirlik bir Türk üssüdür! 🇹🇷 #MillîSavunmaBakanlığı #GününFotoğrafı📸

Türkçe
1
0
3
257
Dr. Format C: For Cortex
Dr. Format C: For Cortex@MathhWizard·
01000011 01110101 01101101 01101000 01110101 01110010 01101001 01111001 01100101 01110100 00100000 01100010 01101001 01101100 01101000 01100001 01110011 01110011 01100001 00100000 01101011 01101001 01101101 01110011 01100101 01110011 01101001 01111010 01101100 01100101 01110010 01101001 01101110 00100000 01101011 01101001 01101101 01110011 01100101 01110011 01101001 01100100 01101001 01110010 00101110 00100000 01001110 01100101 00100000 01101101 01110101 01110100 01101100 01110101 00100000 01010100 11111100 01110010 01101011 11111100 01101101 00100000 01100100 01101001 01111001 01100101 01101110 01100101 00100001
0
0
0
61
Hürriyet.com.tr
Hürriyet.com.tr@Hurriyet·
01001011 01101111 01110010 01101011 01101101 01100001 00100000 01110011 11000011 10110110 01101110 01101101 01100101 01111010 00100000 01100010 01110101 00100000 11000101 10011111 01100001 01100110 01100001 01101011 01101100 01100001 01110010 01100100 01100001 00100000 01111001 11000011 10111100 01111010 01100101 01101110 00100000 01100001 01101100 00100000 01110011 01100001 01101110 01100011 01100001 01101011 🇹🇷 #12Mart #İstiklalMarşı
289
93
2.5K
3.3M
Dr. Format C: For Cortex
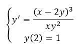
Dr. Format C: For Cortex@MathhWizard·
v + x dv/dx = (x − 2 v x)³ / (x · (v x)²) v + x dv/dx = (x (1 − 2v))³ / (x · v² x²) v + x dv/dx = x³ (1 − 2v)³ / (v² x³) v + x dv/dx = (1 − 2v)³ / v² x dv/dx = (1 − 2v)³ / v² − v x dv/dx = (1 − 2v)³ / v² − v · v² / v² x dv/dx = [ (1 − 2v)³ − v³ ] / v² (1 − 2v)³ = 1 − 6v + 12v² − 8v³ (1 − 2v)³ − v³ = 1 − 6v + 12v² − 8v³ − v³ = 1 − 6v + 12v² − 9v³ x dv/dx = (1 − 6v + 12v² − 9v³) / v² dv/dx = (1 − 6v + 12v² − 9v³) / (v² x) dv / dx = [1 − 6v + 12v² − 9v³] / (v² x) v² dv / (1 − 6v + 12v² − 9v³) = dx / x ∫ v² / (1 − 6v + 12v² − 9v³) dv = ∫ dx / x −9v³ + 12v² − 6v + 1 = 0 9v³ − 12v² + 6v − 1 = 0 9(1/27) − 12(1/9) + 6(1/3) − 1 = 1/3 − 4/3 + 2 − 1 = (1−4+6−3)/3 = 0 9v³ − 12v² + 6v − 1 = (3v − 1)(3v² − 3v + 1) v² / (1 − 6v + 12v² − 9v³) = v² / [ − (9v³ − 12v² + 6v − 1) ] = − v² / [ (3v − 1)(3v² − 3v + 1) ] − v² / [ (3v − 1)(3v² − 3v + 1) ] = A / (3v − 1) + (Bv + C) / (3v² − 3v + 1) ∫ = −(1/9) ln|3v − 1| − (2√3 / 9) arctan( (6v − 3)/√3 ) + C −(1/9) ln|3v − 1| − (2/3√3) arctan( √3 (2v − 1) ) = ln|x| + C x = 2 → y = 1 → v = y/x = 1/2 v = 1/2 −(1/9) ln|3·(1/2) − 1| − (2/3√3) arctan( √3 (2·1/2 − 1) ) = ln|2| + C −(1/9) ln|0.5| − (2/3√3) arctan(0) = ln 2 + C −(1/9) ln(1/2) − 0 = ln 2 + C (1/9) ln 2 = ln 2 + C C = (1/9) ln 2 − ln 2 = ln 2 (1/9 − 1) = ln 2 (−8/9) = −(8/9) ln 2 −(1/9) ln|3v − 1| − (2/3√3) arctan( √3 (2v − 1) ) = ln|x| − (8/9) ln 2
0
0
1
90
SKG
SKG@sonukg4india·
Solve it
SKG tweet media
English
1
1
14
1.5K
Dr. Format C: For Cortex
Dr. Format C: For Cortex@MathhWizard·
@Math_World_ A + 1 = 33.554.432 = 2²⁵log₂(A + 1) = log₂(2²⁵) = 25 √((log(A+1)) / log(2)) = √(log₂(A+1)) = 5
English
1
0
2
131
Math World
Math World@Math_World_·
For math experts;
Math World tweet media
English
8
7
37
2.7K
Dr. Format C: For Cortex retweeté
Dr. Format C: For Cortex
Dr. Format C: For Cortex@MathhWizard·
Ozok, klasik NATO tipi el bombalarına (Mk 2 ≈595–620 g, M67 ≈390–400 g) kıyasla hafifletilmiş, yüksek verimli kontrollü fragmantasyon felsefesi üzerine tasarlanmış bir modern saldırı el bombası. Toplam ağırlık ≈325 g, gövde çapı ≈27 mm (klasiklerde 58–62 mm) hava direnci (drag) ≈d² oranında ciddi düşüş ve balistik performans artışı sağlar. Ortalama atım mesafesinde %20–40 civarı bir optimizasyon var (klasik 30–40 m yerine tahmini 35–50 m aralığı); özellikle engebeli arazide (dağ/komando harekatları , Doğu / Güneydoğu da Bölücü Terör Örgütüne yönelik harekatlarda) ergonomik ve taktik avantaj yaratacağı anlamına gelir. Patlayıcı dolum ≈34 g C4/TNT (klasiklerde 50–60 g Comp B/TNT) yakın mesafede (3–8 m) şok dalgası basıncı (overpressure) görece düşük kalır ve 'kalın' engel arkası hedeflerde etkinlik azalabilir. 216 adet önceden şekillendirilmiş çelik parça ile daha kontrollü ve yüksek enerjili fragment dağılımı hedeflenmiş (klasik el bombalarında ise demir döküm gövdelerin düzensiz parçalarına kıyasla çok avantajlı diyebilirim). I. Dünya Savaşı’ndan günümüze (Ukrayna-Rusya, Ortadoğu çatışmaları) kadar kullanılan Fransız F1 (600 g, ~60 g TNT, ~30–35 m atım) ile Sovyet/Rus RGD-5 (310 g, ~110–115 g TNT, ~35–45 m atım) kıyaslandığında: Savunma pozisyonu, açık arazi veya siper harbi için F1’in geniş lethal zone’u (daha fazla ve enerjili olması ve parça miktarı) hala üstündür. Hücum, bina içi harekat, yakın mesafe çatışma veya hafif piyade/özel kuvvet kullanımı için RGD-5 daha avantajlıdır (daha hafif + daha yüksek yakın blast etkisi). Ozok ise bu iki klasik sistemden (hatta Mk 2 ve M67’den) temelde farklı bir tasarım paradigmasına sahip: Aşırı kütle azaltımı + kontrollü düşük patlayıcı yük + optimize edilmiş fragment kinetik enerji. Fragment enerji : El bombası gibi mühimmatlarda en kritik performans parametrelerinden biridir. Şu soruların cevabına yanıt buluruz : "Patlama anında her bir parça ne kadar hızlı gidiyor ve bu hangi hızla çarptığında ne kadar enerji taşıyor?" Bu enerji ise, parçanın vücut zırhı delme, kemik kırma veya hayati organlara ulaşmasını doğrudan belirleyen verilerdir. KE = ½ x m × v² , m = fragmentin kütlesi (gram veya kg) v = fragmentin başlangıç hızı (m/s), hız (v) kare ile çarpıldığı için, hızdaki küçük artış enerjiyi çok fazla artırır) El bombası gibi silindirik/ince gövdeli sistemlerde en yaygın kullanılan yaklaşık formül ise : v = √(2E) × √(C / (M + C)) E = patlayıcının Gurney enerjisi (MJ/kg) – TNT için ≈2.1–2.3 MJ/kg C4 için ≈2.4–2.6 MJ/kg C = patlayıcı kütlesi (kg) M = metal gövde + parça toplam kütlesi (kg) El bombalarında C/M oranı düşük (patlayıcı az, metal çok) olduğu için 'v' genelde 800–1600 m/s aralığında çıkar. ) TNT/C4 için √(2E) ≈ 2400–2600 m/s Ozok ise : C ≈ 0.034 kg, M ≈ 0.15–0.20 kg (gövde + parçalar) C/(C+M) ≈ 0.14–0.18 v ≈ 2400 × √0.16 ≈ 900–1100 m/s civarı (ortalama) Parça başına m ≈ 1.5 g = 0.0015 kg KE/parça ≈ ½ × 0.0015 × (1000)² = 750 Joule (yaklaşık) Klasik Mk2/M67 (60 g patlayıcı, ~1000 küçük parça) v ≈ 1200–1500 m/s Parça başına m ≈ 0.05–0.1 g KE/parça ≈ 50–150 Joule (çok daha düşük bireysel enerji) Ozok'ta her parça 5–10 kat daha fazla kinetik enerji taşıyabilir demektir daha iyi penetrasyon anlamına gelir. Ozok özelinde ne değişiyor? Ana fikir ve Modern Harp felsefesi olarak optimize edildiğini vurgulamak gerekiyor ve bu bağlamda ise : Daha az patlayıcı (≈34 g) ama daha ağır ve kontrollü parçalar (≈160–220 adet, her biri tahmini 1.2–2 g). Avantajı ne? Klasik el bombalarında enerji "çok parçaya dağılır" birçok parça düşük enerjili kalır, çoğu hedefe ulaşmadan durur. Ozok'ta enerji "az ama parçalara yoğunlaşır" bu ne demek ? Daha az israf, daha yüksek "etkili vuruş" olasılığı. Özellikle hafif zırhlı askerlere karşı veya açıkta duran hedeflere karşı daha ölümcül. Genel olarak bu el bombası projesindeki yaklaşım, modern harbin "hafifletilmiş yük + artırılmış mühimmat taşıma kapasitesi" ihtiyacına daha uygun "felsefede" tasarlanmış, ancak yakın blast özellikle engel arkası hedeflere klasik sistemlere nazaran daha etkisiz olduğu ortadadır.
Türkçe
3
2
22
1.4K
Dr. Format C: For Cortex
Dr. Format C: For Cortex@MathhWizard·
ABD Dışişleri Bakanlığı ve Enerji Bakanlığı belgelerinde (örneğin 2022-2026 Integrated Country Strategy for Azerbaijan), Azerbaycan açıkça "reliable partner in energy security" olarak tanımlanıyor. Türkiye'yi ABD - NATO'nun uydusu haline getirenler gibi, soydaşımız Azerbaycan halkını ; ABD ve NATO'nun boyunduruğuna geçiren, emperyalistlerin çıkarlarına mahkum eden kukla Aliyev'i tarih hiç iyi yazmayacak.
Türkçe
0
0
2
684
Nevzat Çiçek
Nevzat Çiçek@nevzatcicek·
Çok sert konuştu: Aliyev, “Şerefsizler” dedi
Türkçe
424
76
983
165.4K
Dr. Format C: For Cortex
Dr. Format C: For Cortex@MathhWizard·
@IntEngineering A = 3.5 ⁷/₂ B = 4.5 ⁹/₂ C = 9.5 ¹⁹/₂ D = 3.5 ⁷/₂ A + B = 7/2 + 9/2 = 16/2 = 8 A + C = 7/2 + 19/2 = 26/2 = 13 B + D = 9/2 + 7/2 = 16/2 = 8 C − D = 19/2 − 7/2 = 12/2 = 6
Français
0
0
0
57