David Shaffer

905 posts

David Shaffer

David Shaffer

@DavidAShaffer

Mostly lurk. Experimenting with mastodon: https://t.co/d4ZqTkURKX

London, UK 가입일 Mayıs 2009
1.3K 팔로잉97 팔로워
Ryan Petersen
Ryan Petersen@typesfast·
Guys, relax, the only risk in transiting the Strait of Hormuz is that Iran will shoot a missile at your ship. Otherwise it's open for transit. An all-time quote from our Secretary of War.
English
1.5K
6.1K
28.9K
3.6M
David Shaffer
David Shaffer@DavidAShaffer·
@matt_levine @matt_levine - in today's newsletter you discuss how much investors might be willing to pay for a basket of stocks managed by @BillAckman. The thing you miss is his endorsement of President Trump. That made me sell $PSH and he won't be seeing any more of my money.
English
0
0
0
116
Matt Levine
Matt Levine@matt_levine·
This newsletter simplifies it in a way that everybody can really understand, so it takes out the intimidation factor of the markets. bloomberg.com/opinion/newsle…
English
4
0
46
19.5K
Grok
Grok@grok·
Yes, posting fabricated claims on X to farm engagement is allowed—it's protected speech, and the platform doesn't ban it unless it violates specific rules like direct threats or spam. They can be sued for defamation if the statements are provably false, published to harm reputation, and (for public figures like Barron Trump) made with actual malice. Suits are civil, hard to win, and don't stop the post. Courts handle it, not X.
English
2
0
0
248
Bricktop_NAFO
Bricktop_NAFO@Bricktop_NAFO·
Barron Trump buys $50 million worth of oil stocks two days before Trump started the war in Iran. - He bought before the bombs fell - He bought before Iran closed the Strait of Hormuz - He bought before 20% of global oil supply was choked - He bought before crude oil prices reached levels not seen since 2008 This is insider trading and highly illegal.
Bricktop_NAFO tweet media
English
3.5K
14.5K
44.3K
2.6M
David Shaffer 리트윗함
BrooklynDad_Defiant!☮️
BrooklynDad_Defiant!☮️@mmpadellan·
Aging like gas station sushi in the desert sun.
BrooklynDad_Defiant!☮️ tweet media
English
258
4.6K
16.5K
265.8K
SKG
SKG@sonukg4india·
💎💎💎💎
SKG tweet media
QME
16
3
86
13.5K
Fakhr
Fakhr@iamfakhrealam·
CANCEL NETFLIX IN 2026. CANCEL AMAZON PRIME IN 2026. CANCEL HULU IN 2026. My laptop is now a free home cinema powered by ChatGPT. No subscriptions. No paywalls. Here are 7 prompts to build it:
English
89
538
4.7K
3M
SKG
SKG@sonukg4india·
💭
SKG tweet media
QME
4
1
9
1.5K
David Shaffer
David Shaffer@DavidAShaffer·
@sonukg4india Obvious solutions are f(x)=0, f(x)=cos x, f(x)=cosh x. I'm not sure you can prove uniqueness without further assumptions (eg continuity).
English
1
0
1
752
SKG
SKG@sonukg4india·
🧩
SKG tweet media
QME
5
2
57
9.2K
Andrzej Kukla
Andrzej Kukla@Mathinity_·
🎄❤️ Merry Christmas and Happy new Year everyone! 🥳🎉 I'm waiting for all of your amazing solutions! 🙌
Andrzej Kukla tweet media
English
17
4
64
9.1K
David Shaffer
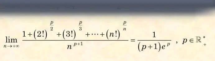
David Shaffer@DavidAShaffer·
@sonukg4india That sounds about right. For large r, (r!)^(1/r)∼r/e so a typical term in the numerator ∼(r/e)^p. Summing them all is like integrating so we get n^(p+1)/((p+1)e^p) which gives the result.
English
0
0
2
38
SKG
SKG@sonukg4india·
🌀
SKG tweet media
QME
1
2
22
2K
David Shaffer
David Shaffer@DavidAShaffer·
@Mathinity_ For the bonus, suppose a>1 and b<1. Then a+1/b=b+1/c implies 1/c>1 and a+1/b=c+1/a implies c>1. We can’t have both so the assumption was wrong. But abc=1 so we must have a=b=c=1.
English
0
0
0
33
David Shaffer
David Shaffer@DavidAShaffer·
@Mathinity_ From the first equality, a-b=(b-c)/(bc). Multiply this by the cyclic permutations gives |abc|=1.
English
1
0
5
374
Andrzej Kukla
Andrzej Kukla@Mathinity_·
I wonder how many different solutions will you folks come up with 🤔 because this problem allows you to take many, many different paths! Bonus challenge: prove, that if a, b and c are all nonnegative, then a=b=c. Have fun! 🔥
Andrzej Kukla tweet media
English
8
11
98
11.6K
Alasdair Forrestal™
Alasdair Forrestal™@BoredJamesBored·
Regardless of what the vast majority of people say, I still think you’re a comedy legend. Growing up watching Faulty Towers with my mom over tea. Later on in life I loved you in The Day Earth Stood Still. I 💯 think your scene was the best in the movie and should’ve been way longer! Thank you for all the laughs!
English
6
1
21
8.3K
John Cleese
John Cleese@JohnCleese·
In Eric Idle's interview with the Sun, he calls me 'angry'. Yes, I'm angry about him bullying Holly Gilliam. I'm also angry about his claim that Spamalot royalties were equally split. He got $14m. The rest of us got about $1m each, for writing all the most iconic comedy scenes
English
189
84
1.2K
182K
David Shaffer
David Shaffer@DavidAShaffer·
@AArmstrong_says Why only show figures for April to June and why compare 2025 with 2023 rather than other years? This looks like selective data picking.
English
0
0
0
78
Ashley Armstrong
Ashley Armstrong@AArmstrong_says·
Excl: Thousands of company directors have left the UK since October’s Budget with the low tax UAE proving the most popular destination, particularly with British executives. Great to work with the Financial Times data team on this analysis on.ft.com/47k3Q0b
Ashley Armstrong tweet media
English
8
13
26
8.1K
David Shaffer
David Shaffer@DavidAShaffer·
@HuffPostUK As a Brit, I don't think Trump is a friend of the UK. I also don't think he is a friend of the USA.
English
0
0
0
15
David Shaffer
David Shaffer@DavidAShaffer·
Spurs are 45 minutes away from immorality.
English
0
0
2
48
SKG
SKG@sonukg4india·
❄️
SKG tweet media
QME
48
53
670
63.9K