Sabitlenmiş Tweet
ْ
762 posts

ْ retweetledi

والهفوة التي يهفوها الرجال والنساء جميعا في مسألة الزواج أنهم يتساءلون عن كلِّ شيءٍ من جمالٍ أو مالٍ، أو خُلُقٍ أو ذكاءٍ أو علمٍ او عقل أو عفةٍ أو أدب، ويغفلون النظر في ملاك روح هذه الأشياء جميعها، وهي الوحدة النفسية بين الزوجين، فالنفس نفسان: "مادية" تقف عند مظاهر الحياة ومراثيها، و "روحية" تتغلغل في أعماقها وأطوائها.
أصحاب النفس الأولى: هم أولئك الجامدون المتبلدون الذين يدورون في الحياة حول محور أنفسهم، ولا يحتفلون بشيء فيها إلا بما يتصل بمطامعهم أو بشهواتهم والذين إذا شغفوا به بإعتبار علاقته بأجسامهم لا بنفسهم، وإذا أُعجبوا بمنظر من المناظر أُعجبوا به من حيث قيمته ومنفعته لا من حيث بهائه ورونقه.
وإذا صادقوا الناس صادق هم على المنفعة أو الشهوة، أو عادوهم فيها، يضحكون والعالم باك، و يعرسون والدنيا في مأتم، ولا يبالون أهلك الناس أم بقوا ما داموا باقين، وسعدوا ام شقوا ما داموا سعداء مغتبطين
و أصحاب النفس الثانية: هم أصحاب الملكات الشعرية الذين صفت أنفسهم، فأصبحت كالمرائي المجلوة فيتراءى فيها العالم بما فيه من خير وشر، ففرحوا بخيره، وحزنوا لشره، ورقت أفئدتهم، فشعروا بألم المتألمين فتألموا معهم، وببكاء الباكين فبكوا عليهم، وخفت أرواحهم فطاروا بأجنحتهم في آفاق السماء وحلقوا في أجوائها فأشرفوا على الطبيعة، ورأهوها في جميع مظاهرها ومرائيها، فوجدوا من اللذة والغبطة ما زاحم في قلوبهم حب المال والشهوات، فاعتدلوا في مطامعهم، وترفقوا في مساعيهم، وازدروا كل لذة في الحياة غير لذة الحب، وكل جمال غير جمال الخيال.
-المنفلوطي
تاملوا هذا التحليل البديع للمنفلوطي وتلمسه لجوهر الرباط المتين التي تقوم عليه العلاقة بين الرجل والمرأة.
العربية
ْ retweetledi
ْ retweetledi
ْ retweetledi
ْ retweetledi

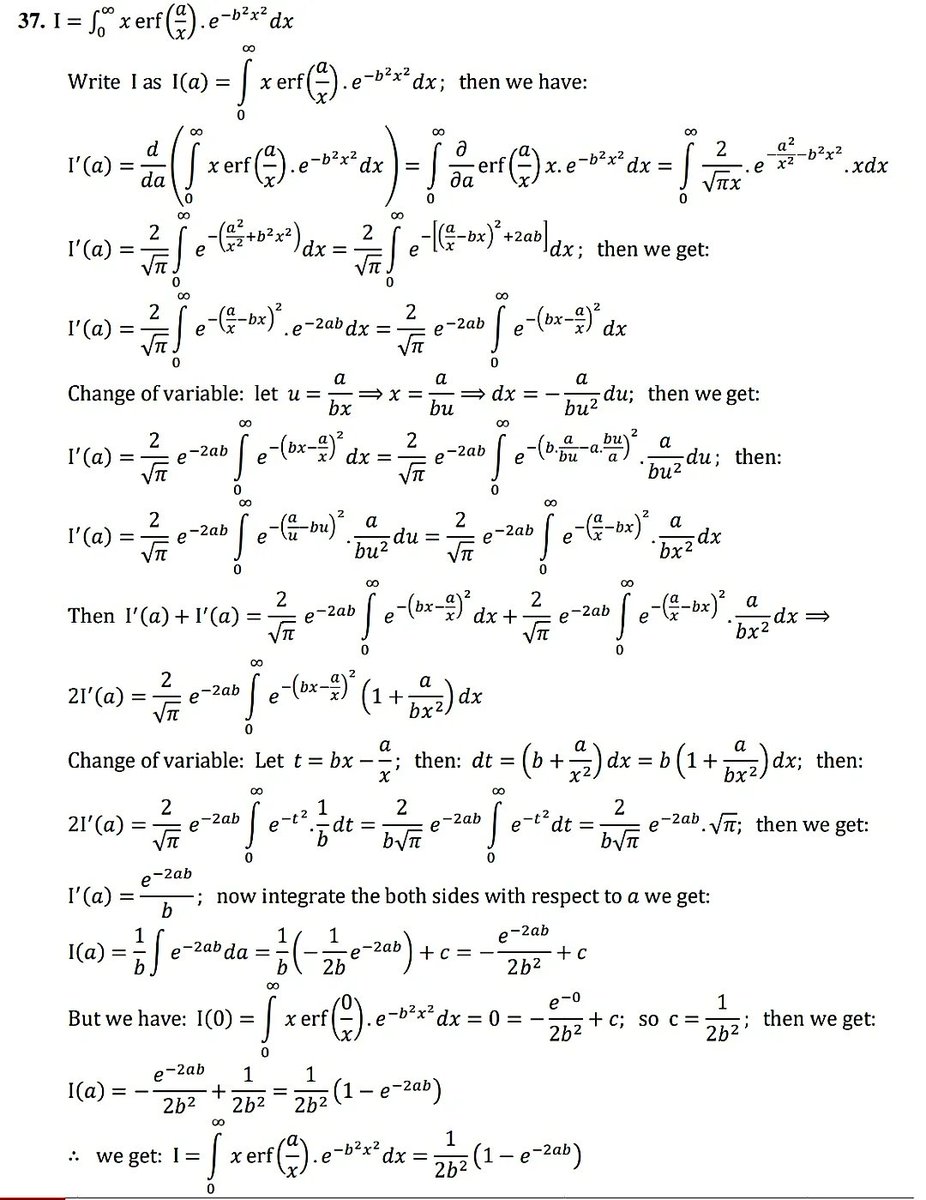
From Integrals Higher Education Book
#Calculus_Series #math #Integration #differential #integral #mathproblems

English
ْ retweetledi
ْ retweetledi
ْ retweetledi
ْ retweetledi
ْ retweetledi












