Sabitlenmiş Tweet

Methods of Integration
Integrals Higher Education Book
#math #Integration #differential #integral #mathteacher #mathproblems




English
عاصم القحيف
1K posts














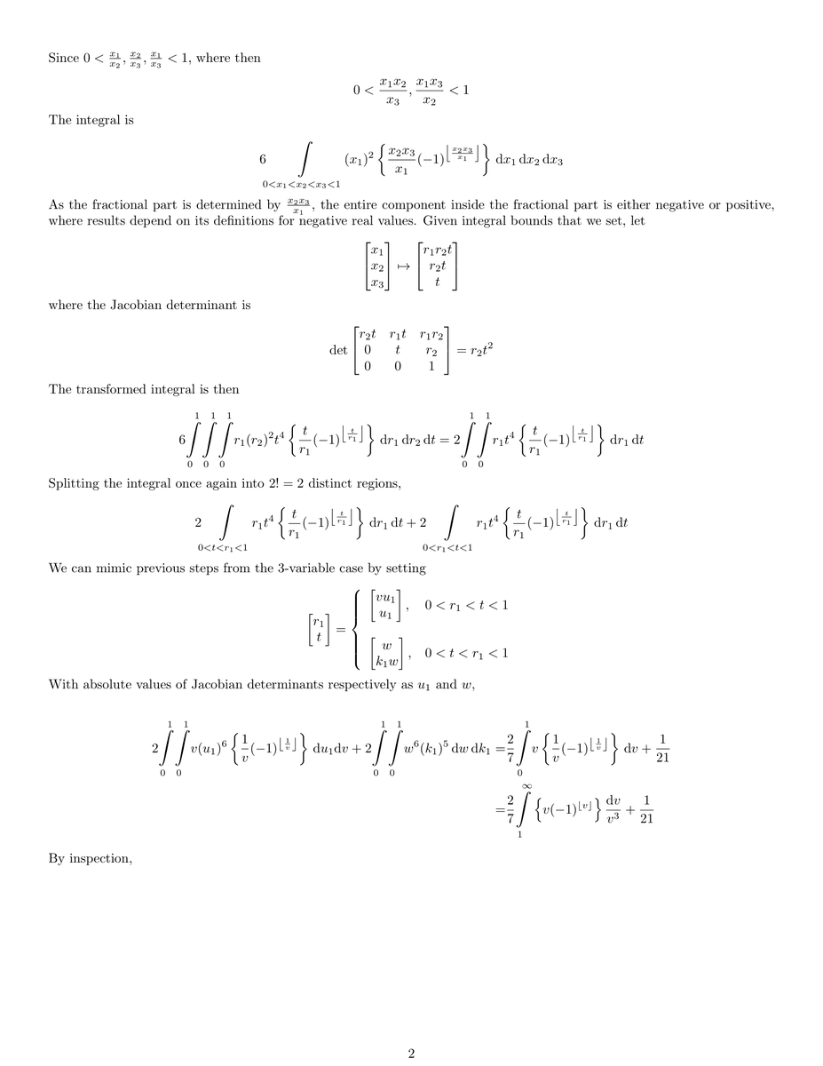
Fractional part function associated multiple Integral #educationalcontent #integration #SpecialFunctions #Mathematics










Fractional part function associated multiple Integral #integration #educationalcontent #Mathematics #SpecialFunctions






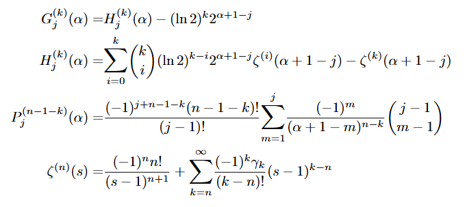
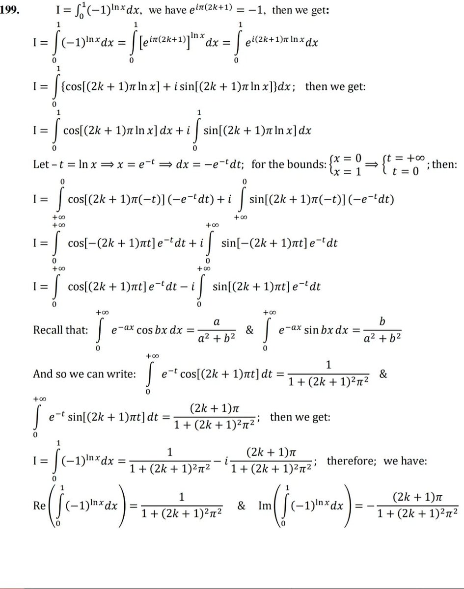
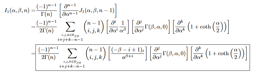
#mathematics #puzzled #calculus #integral #數學 #수학 #数学 #matemáticas #積分 #적분 #挑戦 #advanced #上級 #高級 Long time no generalization series! Fourier-Mellin integral time... [1/4] 1 - Intro 2 - Solutions 3 - Sources 4 - Inspiration



