Ben-Zvi lab
451 posts

Ben-Zvi lab
@BenZvi_Lab
Trying to understand how bariatric surgery work, we collaborate with physicians, use mouse models and apply mathematical tools 🧐#Obesity #NASH #NAFLD #Diabetes
Hadassah Medical School, Jerusalem, Israel Katılım Şubat 2018
337 Takip Edilen479 Takipçiler
Ben-Zvi lab retweetledi

Cool study by our neighbors and colleagues
#diabetes
cell.com/cell-reports/f…
English
Ben-Zvi lab retweetledi

Sounds like a good idea !
Who’s in for a try ?
Itai Yanai@ItaiYanai
We make time for seminars that present new results, but we should also make time for ‘night science’ discussions to generate new ideas together. Here are my tips for how to organize a thought-provoking night science session at your institution. 🧵
English
Ben-Zvi lab retweetledi

אם יש לכם 1:45 להעביר למשל בנסיעה, ובא לכם לשמוע אותי מתראיין על הרזיה, השמנה וריצות שטח, מוזמנים להקשיב לגיקונומי
geekonomy.net/2022/10/03/gee…
אפשר גם לשים ב2x 🤗
עברית

@DanielJDrucker what about gestational diabetes ? could it replace the horrendous 100 gr glucose tolerance test ?
English

Why measure glucose to diagnose #diabetes when perhaps measurement of specific microRNA combinations might do the trick?
biorxiv.org/content/10.110…
English
Ben-Zvi lab retweetledi

(1/4) Did you know that there are bacteria in human tumors? Well, this is old news now 😊. Our new study, featured on the cover of @CellCellPress, shows that human tumors contain fungi as well and that tumor fungi matter! (Cover by @munafomarzia) cell.com/cell/fulltext/…

English
Ben-Zvi lab retweetledi
Ben-Zvi lab retweetledi

Hacking type 1 #diabetes Use of an open-source AID system resulted in a significantly higher percentage of time in the target glucose range than the use of a sensor-augmented #insulin pump at 24 weeks. nejm.org/doi/full/10.10…
English
Ben-Zvi lab retweetledi

New study! We show that sleeve gastrectomy reduces glucose and cholesterol in lean female 5xFAD mice, but this has no effect on their #AD related behavior or pathology. A huge effort (and long shot) but I wanted to do this experiment since my postdoc. frontiersin.org/articles/10.33…
English
Ben-Zvi lab retweetledi

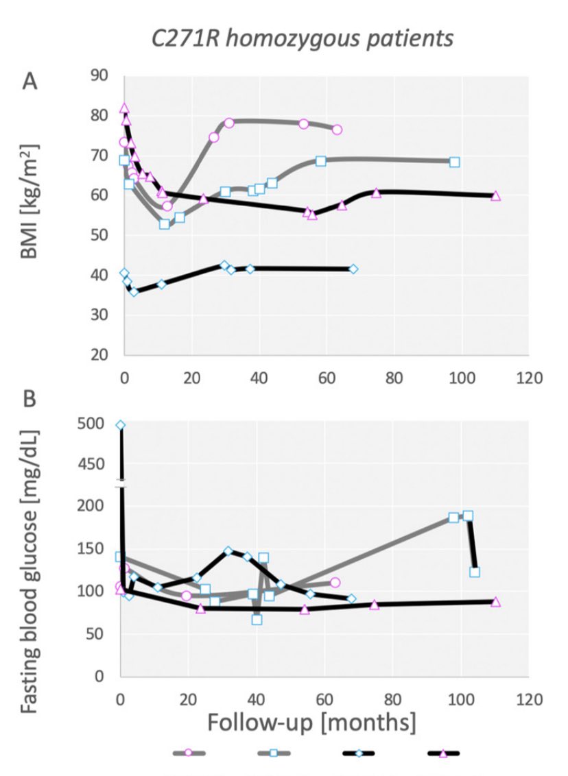
Excited to share our study by the legendary surgeon Dr Ronit Grinbaum, on the long term outcomes of #bariatric surgery in 4 adolescents with a LOF mutation in #mc4r. Weight remains high, but glucose improves (as in rodent models). mdpi.com/2218-1989/12/5… @Hadassah @Hujimed

English
Ben-Zvi lab retweetledi

A bispecific #antibody which distinguishes #cancer cells from healthy cells, doesn't care about #KRAS mutations & was developed entirely on human cancer #organoids. In 3 years from drawing board to clinic. Congrats to all collaborators. Read: rdcu.be/cL4xS

English

@YTabach tripadvisor.com/Restaurant_Rev…
המסעדה הכי טובה בלה דיג !!
עברית
Ben-Zvi lab retweetledi

Finally out! We show that bariatric surgery in lean female mice leads to small for gestational age offspring, and development of glucose intolerance in male pups. This is reversed by glp1 receptor antagonism. A short thread below insight.jci.org/articles/view/…
English








