Bunk the Biologist

2.2K posts

Bunk the Biologist banner
Bunk the Biologist

Bunk the Biologist

@BiologistBunk

PhD in Immunology, Cell Biologist. Two-time covid long hauler. Co-investigator on a Long Covid trial. FB group: Long Covid - Improve via Fasting

Boulder, CO Katılım Kasım 2020
526 Takip Edilen3.4K Takipçiler
Sabitlenmiş Tweet
Bunk the Biologist
Bunk the Biologist@BiologistBunk·
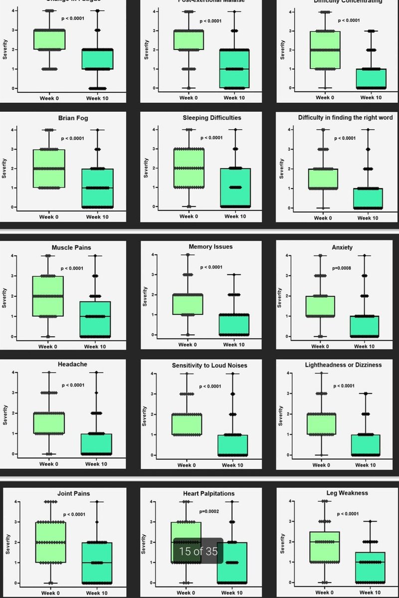
Pleased to share our positive #LongCOVID trial results. Jeff Novack PhD of PNWU opened doors, made key contributions and otherwise made this possible. A patient-friendly, low burden, all remote trial. And a big THANK-YOU to all the trial participants! nature.com/articles/s4159…
Bunk the Biologist tweet media
English
12
36
102
9.6K
Bunk the Biologist
Bunk the Biologist@BiologistBunk·
@SalvMattera In our 10-week Intermittent Fasting clinical trial for #LongCovid, the top-half of participants had an average 81% decrease in their symptom burden and 70% of their symptoms went away completely!   To learn more, here is a 40 min video about the trial. youtu.be/BP9s5hG9Fc8?si…
YouTube video
YouTube
English
0
0
0
65
Salvatore Mattera
Salvatore Mattera@SalvMattera·
Found an article from RTHM describing an older Long COVID study as "profound", "landmark", and "pivotal". I wasn't surprised that, when I dug in, the study was garbage. Another thinly-veiled attempt to sell overpriced supplements. Everyone with Long COVID tries CoQ10 and ALA. They are fairly harmless, inexpensive, and can purchased over the counter. I'm not saying that they're bad, or that they're unhelpful. My neurologist told me to try them, and sometimes they help with nerve issues and other things. But a couple OTC supplements aren't going to fix my friend who had to retire from the C-Suite because of their Long COVID. The study that RTHM is hyping claims that these two supplements can dramatically improve Long COVID symptoms. As you'd expect, there are numerous methodological problems and some statements that appear outright false. I would say it's only marginally better than reading Reddit posts. 1. The treatment group knew they were getting supplements. The control group knew they were getting nothing. Every single outcome they measured was subjective and self-reported. What they were actually measuring, if anything, was the placebo effect. The entire study is meaningless. 2. The groups weren't randomized. Were sicker patients more likely to want treatment? Were healthier patients more likely to decline? We don't know. 3. Way too good to be true - 53.5% response rate in the treatment group versus 3.5% in controls. That would make it the single most effective Long COVID treatment ever discovered. Trust me, we'd all know about it by now. 4. The study is crossing some major ethical lines. They tested a branded supplement (Requpero) rather than generic CoQ10/ALA. Two of the authors are from the company that makes the supplement. They acknowledge them in the paper for "production of Requpero." Yet, the conflict of interest statement says "no conflict of interest." Huh? They say no funding was received, but I doubt it. 5. In addition to the supplement, both groups were simultaneously trying many other treatments, including analgesics, NSAIDs, duloxetine, pregabalin, gabapentin, psychological counseling, physiotherapy, and yoga/pilates. We have no idea how this affected the results, it at all. We deserve better.
Salvatore Mattera tweet media
English
7
9
63
2.4K
Bunk the Biologist
Bunk the Biologist@BiologistBunk·
@SalvMattera Yes, every outcome was based on patient-reported symptoms and severity. That is what most LC trials are measuring as there are no (or very few) objective measures. I think that patient reported outcomes can work very well.
English
0
0
1
41
Bunk the Biologist
Bunk the Biologist@BiologistBunk·
@SalvMattera Yes, some skepticism is merited. The study authors acknowedged the need for a larger, double-blinded, placebo controlled trial. Still, for a trial that launched in 2021; darn impressive. The -53% decrease in symptoms is similar to what we saw in our Intermittent Fasting trial.
English
1
0
3
188
Bunk the Biologist
Bunk the Biologist@BiologistBunk·
@AlexWhiteGB @makemevisible24 ALA and CoQ10 may also trigger autophagy leading to periodic flare-ups of Long Covid symptoms. Caution is always merited. Supplements are like drugs, but ones that have not yet advanced through the safety and efficacy approval process.
English
1
0
2
85
Alex White
Alex White@AlexWhiteGB·
@BiologistBunk @makemevisible24 ALA has to be thought through carefully its a double thiol, it will attract mercury from amalgam fillings potentially making that person pretty ill, fatigued due to the mobilisation of mercury in the brain targeting places like the pituitary gland. No amalgams and its great stuff
English
1
0
3
120
Bunk the Biologist
Bunk the Biologist@BiologistBunk·
1/3 Coenzyme Q10 + alpha lipoic acid for #LongCOVID. Impressive, significant reductions in many chronic Long COVID symptoms from an overlooked 2021/2022 trial. The treatment: 100 mg CoQ10 and ALA bid for 2 months. doi.org/10.1007/s10238…
English
14
36
211
8.5K
Lisa
Lisa@rainbowjanelane·
@BiologistBunk 100 mg of coq10 and 100mg of ala? Sorry, LC brain
English
2
0
2
121
Bunk the Biologist
Bunk the Biologist@BiologistBunk·
@MaryGR65 @maravilia2022 We don't know the optimum dose or dosing frequency but this trial provided a positive data point to inform future trials. Also, it seems most positive LC trials still see wide variability in responses between individuals.
English
0
0
1
67
Bunk the Biologist
Bunk the Biologist@BiologistBunk·
@SalvMattera I initially found the study on my own. Good design for an early pandemic trial (based on ME-CFS measures). Good positive results... especially in light of so many negative outcome treatment trials since. The mean improvements are roughly on par with Intermittent Fasting.
English
0
0
2
111
Salvatore Mattera
Salvatore Mattera@SalvMattera·
@BiologistBunk Saw your post and took a closer look. As a rule of thumb, distrust anything RTHM puts out: x.com/SalvMattera/st…
Salvatore Mattera@SalvMattera

Found an article from RTHM describing an older Long COVID study as "profound", "landmark", and "pivotal". I wasn't surprised that, when I dug in, the study was garbage. Another thinly-veiled attempt to sell overpriced supplements. Everyone with Long COVID tries CoQ10 and ALA. They are fairly harmless, inexpensive, and can purchased over the counter. I'm not saying that they're bad, or that they're unhelpful. My neurologist told me to try them, and sometimes they help with nerve issues and other things. But a couple OTC supplements aren't going to fix my friend who had to retire from the C-Suite because of their Long COVID. The study that RTHM is hyping claims that these two supplements can dramatically improve Long COVID symptoms. As you'd expect, there are numerous methodological problems and some statements that appear outright false. I would say it's only marginally better than reading Reddit posts. 1. The treatment group knew they were getting supplements. The control group knew they were getting nothing. Every single outcome they measured was subjective and self-reported. What they were actually measuring, if anything, was the placebo effect. The entire study is meaningless. 2. The groups weren't randomized. Were sicker patients more likely to want treatment? Were healthier patients more likely to decline? We don't know. 3. Way too good to be true - 53.5% response rate in the treatment group versus 3.5% in controls. That would make it the single most effective Long COVID treatment ever discovered. Trust me, we'd all know about it by now. 4. The study is crossing some major ethical lines. They tested a branded supplement (Requpero) rather than generic CoQ10/ALA. Two of the authors are from the company that makes the supplement. They acknowledge them in the paper for "production of Requpero." Yet, the conflict of interest statement says "no conflict of interest." Huh? They say no funding was received, but I doubt it. 5. In addition to the supplement, both groups were simultaneously trying many other treatments, including analgesics, NSAIDs, duloxetine, pregabalin, gabapentin, psychological counseling, physiotherapy, and yoga/pilates. We have no idea how this affected the results, it at all. We deserve better.

English
1
1
11
507
Bunk the Biologist retweetledi
Simmaron Research
Simmaron Research@RedefiningMECFS·
Our placebo-controlled trial will pay for the costs of rapamycin, placebo, safety tests, biomarker tests and clinical work, to ease patient burden and so the results aren’t influenced by costs. #MECFS and #LongCovid patients need evidence-based treatments, and as a non-profit, we need to raise the funds to get there. A generous donor will double your gift, so let’s do it together and break new ground for treatments. #ME simmaronresearch.com/donate
Simmaron Research tweet media
English
0
9
22
1.9K
Bunk the Biologist
Bunk the Biologist@BiologistBunk·
@CDesign R-ALA initially triggered a series of flare-ups for me. It also activates AMPK which induces autophagy and stimulates innate immunity. CoQ10 also can activate autophagy. My verx hypothesis:
Bunk the Biologist tweet media
English
1
0
3
243
Cdesign
Cdesign@CDesign·
@BiologistBunk Interesting. I have ME/CFS and tried CoQ10 but had a bad Mast Cell reaction and it flared my Gastroparesis. Have you seen that before in the patient population? MCT has the same issues for me.
English
1
0
4
262
Bunk the Biologist
Bunk the Biologist@BiologistBunk·
Controls vs Treatment group for various ME-CFS measures. Beginning (TO) and end mean values (T1) and p-values < 0.05 indicate statistically significant differences.
Bunk the Biologist tweet media
English
2
0
3
533
Bunk the Biologist
Bunk the Biologist@BiologistBunk·
3/3 It is a shame there have not been any follow-up trials. The average time since COVID infection was just 6 months. A good science summary and perspective is located at rthm.com/resources/blog…
English
0
1
19
787
Bunk the Biologist
Bunk the Biologist@BiologistBunk·
2/3 The study used a supplement, Requpero®, which contains CoQ10 (ubiqinol) and alpha Lipoic Acid, two compounds that are naturally found in mitochondria and are known to increase ATP production and cellular anti-oxidant capacity (via Nrf2) while inhibiting inflammation (Nf-kB).
English
1
0
16
955
Bunk the Biologist
Bunk the Biologist@BiologistBunk·
@DavidJoffe64 @Yash25571056 Yes, due to viral capsid packaging contraints, viral proteins often evolve to perform multiple functions. They typically have a "swiss army knife" battery of tricks to hijack cell metabolism, suppress innate immunity, and of course, control viral replication.
English
0
2
8
120
Biotech Digest
Biotech Digest@biotechdigest·
I've been sick with ME/CFS & related comorbidities for 20 years and noticed it's really hard to find any reliable info on treatment beyond pacing recommendations So I built a treatment database for our community, covering ME, LC, POTS, MCAS, FM, SFN thespooniverse.org/treatments
English
18
98
352
9.9K
Bunk the Biologist
Bunk the Biologist@BiologistBunk·
@julie_bush Yes, that is my thinking. Best wishes for your current treatment. I hope stimulating NK cells is very beneficial!
English
1
0
1
22
Julie Bush
Julie Bush@julie_bush·
@BiologistBunk so if i am still struggling with extremely low iron and ferritin despite my ALC rebounding, that might mean persistent infection (perhaps in immune privileged sites like my trigeminal nerve or my jejunum which is where my symptoms cluster?)
English
1
0
0
46
Julie Bush
Julie Bush@julie_bush·
my Anktiva doctor is trying to get my insurance to pay for IV iron cuz my iron & ferritin remain extremely low. a study came out last week that said low iron may be a biomarker for LC because the body sequesters iron so infections can’t feed off it. but then it gets stuck there
Benoit Dubosson@beniduboss

I want to sincerely apologize to all the girls in my life who complained about their anemia whilst I dismissed their complaints This shit is no joke Frantically calling every doctor I know to get an IV iron infusion next week cause it’s legit impossible to get anything done

English
6
2
52
9.8K
Bunk the Biologist
Bunk the Biologist@BiologistBunk·
@julie_bush Correlation is not causation. Sequestration of iron indicates persistent infection.
English
1
0
2
23
Julie Bush
Julie Bush@julie_bush·
here is the study about low iron and covid that was just published. i encourage everyone in the ME/CFS community to examine this as well because i believe the researchers seem to conclude that sequestering iron contributes to fatigue and PEM? news-medical.net/news/20260306/…
English
2
0
10
515
Bunk the Biologist
Bunk the Biologist@BiologistBunk·
@ZdenekVrozina "the thalamus is crucial for perception, with 98% of all sensory input being relayed by it. The only sensory information that is not relayed by the thalamus into the cerebral cortex is information related to smell"
English
0
0
2
14
Zdenek Vrozina
Zdenek Vrozina@ZdenekVrozina·
They also used a more exploratory structural complexity analysis, and again the thalamus stood out. Lower thalamic complexity correlated with higher fatigue ρ = -0.39 on the left and ρ = -0.42 on the right. That does not prove mechanism, but it does point to a plausible neuroanatomical correlate.
English
2
0
20
458
Zdenek Vrozina
Zdenek Vrozina@ZdenekVrozina·
This is not another generic long COVID paper. It looks at patients who reached neurological care for post COVID cognitive symptoms - and finds both objective deficits and a thalamic MRI signal🧵
English
6
36
177
9.4K
Bunk the Biologist
Bunk the Biologist@BiologistBunk·
@ZdenekVrozina These insights fit well with the SARS2 viral persistence hypothesis. If long-haulers are in "trench warfare" with a persistent virus that has infected their nerves, the immune system has to tone down aspects of its response to avoid irrepairable severe damage.
Bunk the Biologist tweet media
English
1
0
1
29
Zdenek Vrozina
Zdenek Vrozina@ZdenekVrozina·
These findings together support a model in which, in some patients, acute infection disrupts immune regulation, and that disturbance then evolves into a longer-lasting state with weaker cellular control, especially at the level of cytotoxic and innate-like populations.
English
2
2
30
619
Zdenek Vrozina
Zdenek Vrozina@ZdenekVrozina·
Long COVID may not begin only after the acute infection has passed. In at least some patients, the immune system appears to go off track from the very start. A breakthrough study.🧵
English
10
86
351
19.7K