Cole Robertson

65 posts

Cole Robertson banner
Cole Robertson

Cole Robertson

@ColebRob

Oxford, England Katılım Mart 2011
112 Takip Edilen51 Takipçiler
Science girl
Science girl@sciencegirl·
Apparently, if you can see a tree, you're left-brained, and if you can see two people holding hands, you're right-brained 🤔
Science girl tweet media
English
5.3K
280
3.4K
1.6M
Cole Robertson retweetledi
Cognition
Cognition@CognitionJourn·
"Low-certainty modals not future tenses cause increased psychological discounting in English relative to Dutch" 📢 New paper from: Cole Robertson (@ColebRob), Seán Roberts, Asifa Majid, Tammy Lu, Philip Wolff, & Robin Dunbar sciencedirect.com/science/articl…
English
0
1
0
128
Cole Robertson
Cole Robertson@ColebRob·
So we show differences between languages change how people plan for the future and make decisions where they must weigh present costs and future rewards. But it's all about those modals impacting how risky and unknown the future feels.
English
0
0
0
5
Cole Robertson
Cole Robertson@ColebRob·
It's not tense marking (e.g. will) but low-certainty modals (could, may, might) that make the difference. English obliges speakers to chose a modal verb when they make a prediction about the future. This makes them construe the future as riskier and less valuable.
English
1
0
0
10
Cole Robertson
Cole Robertson@ColebRob·
4️⃣/5️⃣ We interpret this as: future tense = certainty, not temporal distance.
English
1
0
0
7
Cole Robertson
Cole Robertson@ColebRob·
Joke from my 4yo: Her: Where did the poo go to a person? Me: Where? Her: In the poo cottage! What do you think @KidsWriteJokes
English
0
0
0
20
Cole Robertson
Cole Robertson@ColebRob·
We show that English grammar causes speakers to value future outcome higher than Dutch speakers. This suggests languages affect the way we make decisions about time, but undermines the mechanisms widely attributed to cause this. journals.plos.org/plosone/articl… @MKeithChen ?
English
0
4
6
458
Cole Robertson retweetledi
Markus Anderljung
Markus Anderljung@Manderljung·
The claim that GPT-4 performed at the 90th percentile on the Uniform Bar Exam appears misleading according to this new preprint. It seems more accurate to say it performs in the 63rd or 68th percentile.
Markus Anderljung tweet media
English
14
65
344
129.2K
Cole Robertson
Cole Robertson@ColebRob·
We show that people who struggle with anxiety and/or depression talk about the future differently to healthy controls. They are less certain even though they talk about more proximal future dates. Why? Read the paper to find out:) sciencedirect.com/science/articl…
English
2
1
0
169
Cole Robertson
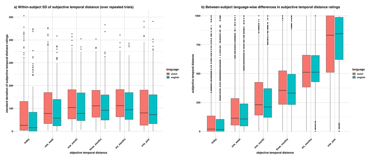
Cole Robertson@ColebRob·
@KricheliKatz @MKeithChen @regev_tali Super interesting work. I just checked my data. Left is within-subject SD of temporal distance ratings. Dutch is higher across the board. Right is between-subject. Dutch has significantly higher spread from one month–one year. But is this due to differences in *tense* marking?
Cole Robertson tweet media
English
0
0
0
169
Cole Robertson
Cole Robertson@ColebRob·
@KricheliKatz @MKeithChen @regev_tali On reflection, I agree, too. I had been conceptualising these effects as within-subject, but either could work. I actually have some potential within-subject data that could answer this question...
English
0
0
0
48
Keith Chen
Keith Chen@MKeithChen·
@ColebRob @KricheliKatz @regev_tali We should hop on a zoom and talk at higher bandwidth, but in these experiments, the amount of future rewards is not uncertain; so there is no role for reward uncertainty
English
3
0
0
44
Cole Robertson
Cole Robertson@ColebRob·
@MKeithChen @KricheliKatz @regev_tali That’s right but the precision mechanism hypothesises individual weak-FTR speakers # represent future dates less precisely. Higher variance between subjects doesn’t necessarily entail this. You’d have ask individuals the same question multiple times.
English
1
0
0
46
Keith Chen
Keith Chen@MKeithChen·
@ColebRob @KricheliKatz @regev_tali Between subjects, FTR appears to have temporal effects: weak-FTR treatments decrease temporal precision. That's the temporal-precision effect that I think the experiments support.
English
1
0
0
42