
Aaron Caldwell
7.7K posts

Aaron Caldwell
@ExPhysStudent
Stats guy that has practicing safe science since 2017. PhD but always a student. #Rstats #OpenScience


RFK Jr: "A Democratic senator claimed it's mathematically impossible to have a drug drop by 600%. I said, 'Well, if the drug was $100 and it raises to $600, that would be a 600% rise. If it drops from $600 to $100, that's a 600% savings.'" Trump: "Right"


This article in @AnnalsofIM highlights ethical problems in stopping trials early for benefit: seriously inflated overestimates of treatment effect violates ethical requirements of scientific validity and social value and leads to misguided patient choices. pubmed.ncbi.nlm.nih.gov/17577007/




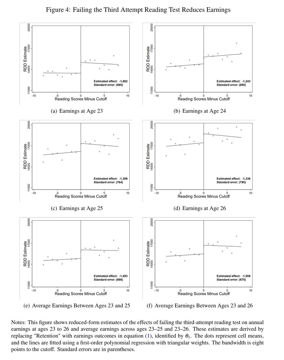
Yep

I review the statistics in ~200 manuscripts a year for some of the top urology journals in the world. Here's what I actually do — and the mistakes I see in almost every paper. 🧵

Tunnel Vision Challenge results! We've been overwhelmed with the amazing submissions…so we are announcing three winners! The Thrilling Three are: - NOLA Loop (New Orleans, LA) - Ravens Loop (Baltimore, MD) - University Hills Loop (Dallas, TX) What happens next? TBC and the project stakeholders enter into a rigorous diligence process which includes: - Meetings with elected officials, regulators, community leaders, and business leaders - Geotechnical borings - Utility and subsurface infra investigation Once the diligence (100% funded by TBC) is complete, if all 3 projects are feasible, will fund/build all 3 - this would be awesome. If only 1 is feasible, will fund/build 1. IN ADDITION, there were multiple other projects that TBC thought were so compelling that we are going to continue to work with the entrants and try to get them built. This includes the following two: - Hendersonville Utility Tunnel (Hendersonville, TN) - Morgan's Wonderland Tunnel (San Antonio, TX) Thanks again to all of the participants - your enthusiasm and positivity has been inspiring for the TBC team.


NEW: The Pentagon has agreed to OpenAI's rules for deploying its technology safely in classified settings, though no contract has been signed, a source tells Axios. The department appears to have accepted conditions similar to those put forth by Anthropic. axios.com/2026/02/27/pen…





#Statistics thought of the day: If you think you can find new disease subtypes by empirically clustering patients, think again: fharrell.com/post/cluster/i…


.@dbongino says details he uncovered at the FBI of the Russia collusion hoax are shocking, warning the abuse of power against President Trump shows a total systematic breakdown: “I was reading through some stuff that you could only read in the office, and it basically involved the collusion hoax, Crossfire Hurricane as it went by, and the various other spinoffs. And when you read it from the inside, when you see the details of what these absolute animals did to President Trump—I mean, I’m not shocked often, Sean—just reading through it and seeing it in detail for the first time, all put together. You can’t run a republic like this. You can’t—you absolutely cannot. It’s just stunning how all these guardrails broke down at the exact same time. It’s frightening how nobody thought to speak up and say, ‘Hey man, not only is this wrong, this is demonic—this is evil stuff.’”



🚨 BREAKING: The “No-Go-Zone” in Minneapolis is getting fully stocked like a pop-up leftist supply depot, free hand warmers, winter gear, coffee, food, milk, you name it. This is PROFESSIONAL-grade logistics. Someone is BANKROLLING this autonomous zone.

It doesn’t get much better than this. It’s a real shame that it’s illegal to build like this on 90% of land in this country.



100 economists signed a letter about how Javier Milei’s election would destroy Argentina’s finances. This should completely discredit all modern economics.









