
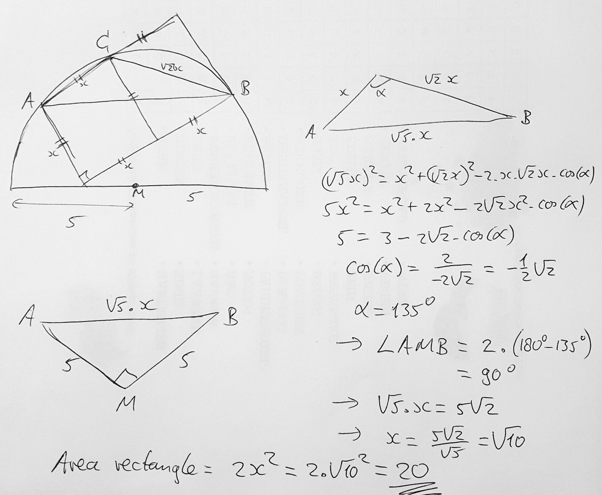
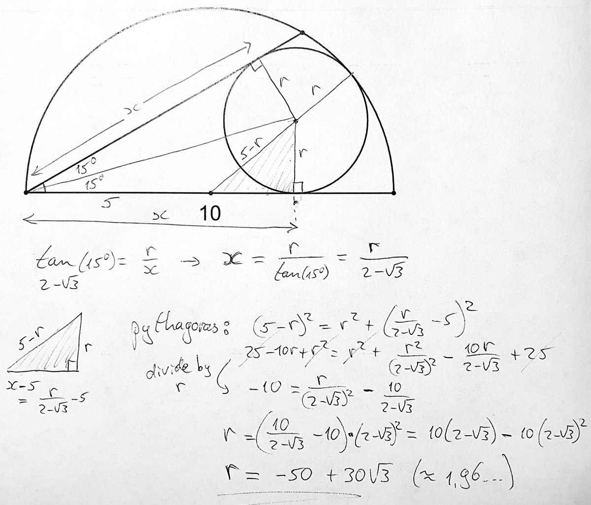
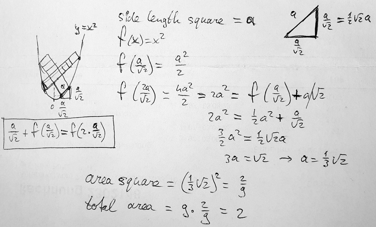
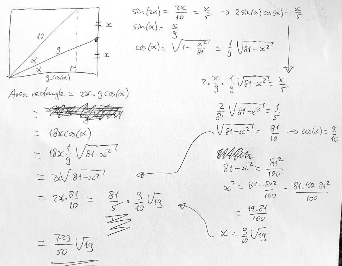
@PuzzleADayBlog I think it's 7 (but I'm not 100% sure that 6 could not be possible)
English
Henk Reuling
3.3K posts

@HenkReuling
Maths-teacher in the Netherlands, at the Liemers College; programming FREE math-games (https://t.co/v6AiUCYbyg) plays basketball and puzzles a lot; #mtbos








