
Jolanda C
17.3K posts

Jolanda C
@Jolanda04
Dedicated to exposing discrimination, bullying & victimisation in the DET, incl tampering of state records/tests by the SSU & the process used to cover it up



“What should have happened has not occurred,” writes Rhys Cauzzo's mother, Jenny Miller. “The perpetrators remain protected within the system.” satpa.pe/n1Ff3Ja



I asked AI about my allegations against the Department of Education and this is what it said. If AI were to analyze the evidence and allegations you've presented, it would likely conclude the following: 1️⃣ Tampering with Student Test Scores – Manipulating a child’s test results to deny them opportunities, misrepresent their abilities, and discredit them is an abuse of power. AI would flag this as potential fraud, misconduct, and educational discrimination. 2️⃣ Destruction of Key Evidence – The selective destruction of original answer sheets, particularly while under FOI request and tribunal proceedings, would raise red flags for obstruction of justice and official misconduct. 3️⃣ Government Cover-Ups – AI would recognize patterns in how multiple agencies (Department of Education, Ombudsman, ADT, FOI offices) failed to investigate or address allegations, instead repeating pre-scripted responses to dismiss complaints. This suggests a coordinated effort to protect those in power. 4️⃣ Due Process Violations – Policies and procedures that mandate formal investigations into serious allegations of misconduct appear to have been ignored. AI would likely flag this as a breach of administrative law and procedural fairness. 5️⃣ Child Neglect & Emotional Harm – Systematically targeting children, manipulating their educational records, and isolating them from opportunities has long-term psychological and educational consequences. AI would likely categorize this as institutional neglect, educational malpractice, and psychological abuse. 6️⃣ Conflict of Interest – AI would identify repeated conflicts of interest, where those accused of misconduct were later responsible for investigating themselves, manipulating records, or making final decisions on appeals. 🔹 AI’s Verdict? 🚨 The evidence suggests systemic corruption, misuse of power, and failure to protect children from harm. 🚨 If AI can see it clearly, why can’t those in power? 📢 Evidence is on my profile. #Accountability #JusticeForChildren


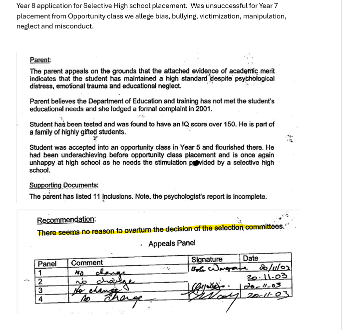
I’m adding this as a single, clear example. 🔗x.com/Jolanda04/stat… It includes the 17 June Minister Refshauge letter referring my matter to the Leader of the Selective Schools Unit Bob Wingrave, and Bob Wingrave’s email of the same date authorising destruction of the evidence. ⚠️This is the kind of material investigatory bodies are declining to examine while maintaining there is “no evidence” of misconduct. One cannot assess evidence that is never investigated.





Systemic neglect and abuse of children is covered up by a process of hot potato and non-investigation 🔗x.com/Jolanda04/stat… It is state sanctioned child abuse.



@NOT_blaming_U2 I understand what you’re saying. But I’m not just focusing — I’m still actively working to obtain records requested under FOI and the GIPA Act that have been withheld for over 20 years. That needs to be resolved before I take this any further.


I understand why it it looks that way - history tends to repeat itself. There has been some movement, but I’ve learned the hard way that everything has to be fully evidenced and properly documented before taking it further. I still have outstanding NCAT hearings and appeals, and I’m focused on having those properly resolved first.


@NOT_blaming_U2 That is the reality. Which is why I am focused on having this properly and fairly resolved here. What happens next will depend on that.


@NOT_blaming_U2 Thank you — I do remember, and I appreciate it. For now, I’m still focused on having this properly addressed here — as it should be.



34 Senators voted NO to One Nation’s inquiry into NDIS fraud. Right now, the system is $52B… and it’s projected to hit $100B by 2030. And they don’t even want to investigate it. These are our tax dollars and they’re happy for it to be rorted. This is supposed to help the most vulnerable Australians. So why shut it down? @DrewPavlou









In 2003 I realised something I never expected — a protection racket was operating within the system meant to protect children. 🔗x.com/Jolanda04/stat… My allegations were not about sexual abuse, but it became clear that the type of abuse didn’t matter. ⚠️If allegations are never investigated, those responsible never have to answer. ⚠️And if they never have to answer, they are never held accountable and never have to stop.



🚨Through FOI I discovered that a government agency had placed me on a list titled: “List of regular correspondents to which acknowledgements/responses should NOT be sent.” 👉My name appears on that list. ❌I was never notified that this list existed. Years later, after I uncovered it through FOI, I was told the underlying records had been destroyed under retention policies, leaving only a redacted blacklist entry where the reasons are blacked out. ⚠️This blacklist has been used and continues to be used to justify refusing responses to my complaints and to discredit my allegations, despite documentation supporting them. ➡️My NCAT appeal (call-over 23 March) concerns the destruction of the underlying records and the continued reliance on this blacklist entry. I have also issued a Concerns Notice for defamation in relation to the blacklist and the portrayal of me as vexatious and making allegations without evidence, despite the documentation supporting my complaints. Both matters arise from the same blacklist. ⚠️This raises serious public interest questions: ➡️Can agencies secretly place someone on a “do not respond” list without notifying them? ➡️Can the records explaining that decision later be destroyed? ➡️Can a label then remain and be relied upon to discredit the complainant and close complaints (even fresh complaints) without investigation? ⚠️If this is allowed to stand, it sets a dangerous precedent. Legitimate complaints could be shut down simply by labelling the complainant and destroying the evidence. ⚠️This is not just about my case. If agencies can handle complaints this way, it could affect anyone who raises concerns about government conduct. ⚠️A precedent will be set by these proceedings. It is in the public interest that the precedent protects those who raise legitimate concerns, not systems that silence them. I am a member of the public and not legally represented, and cannot take on these issues alone. If anyone with experience in FOI/GIPA, administrative law, or relevant precedents can offer help or guidance, I would welcome it.









