Ekaterina Schneider retweetledi

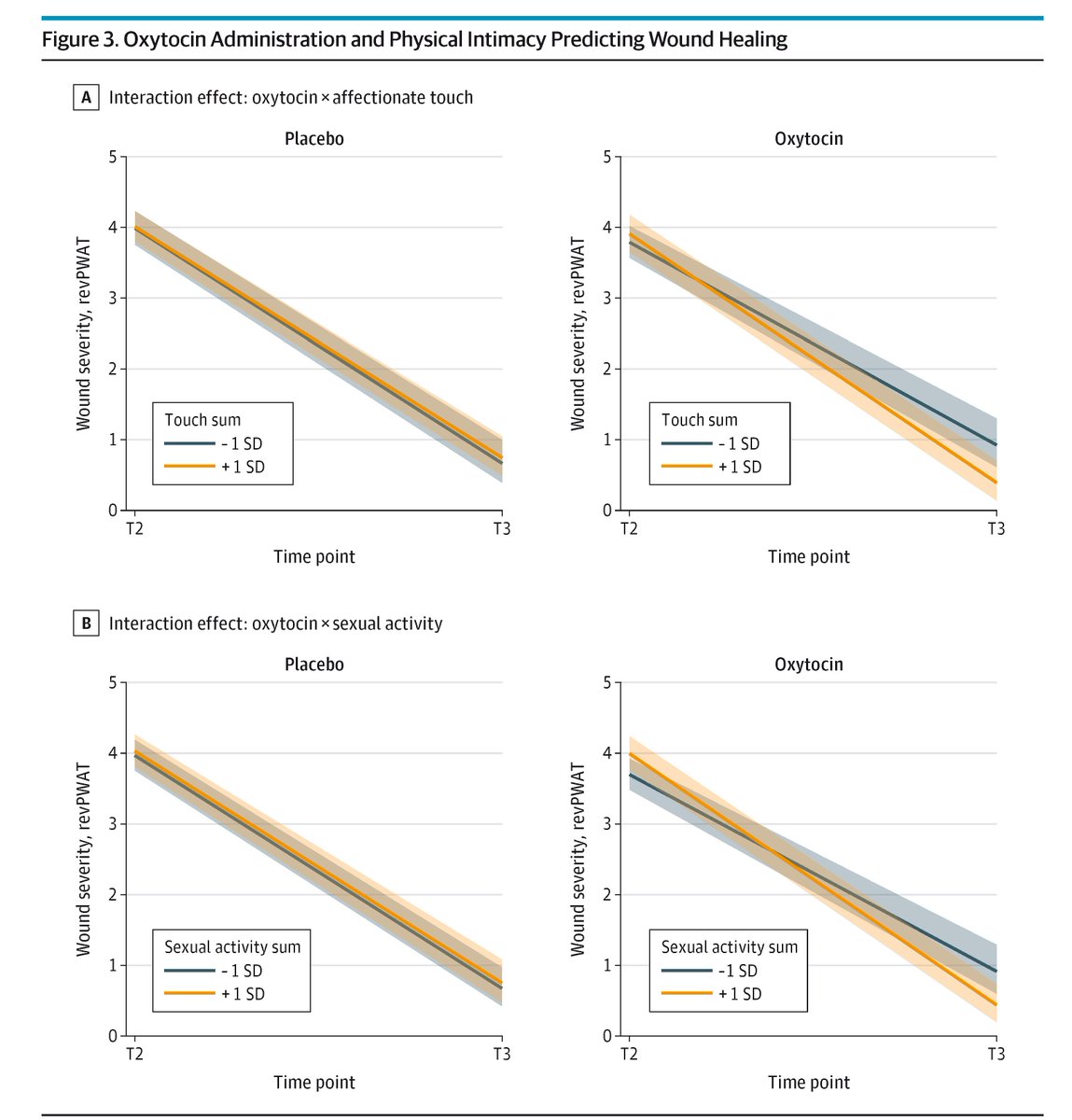
RCT: Daily oxytocin administration combined with positive physical intimacy was linked to improved wound healing and reduced cortisol; oxytocin alone or positive interactions without physical intimacy did not enhance healing.
ja.ma/482SLAx

English











