大數師 MrMathster, Formosa Vacay on Mar 24 - Apr 21 retweetledi
大數師 MrMathster, Formosa Vacay on Mar 24 - Apr 21
4.3K posts

大數師 MrMathster, Formosa Vacay on Mar 24 - Apr 21
@MMathster
EN 🇬🇧 | TW 🇹🇼 | ES 🇪🇸 | JP 🇯🇵 | Multilingual Autodidactic, no PhD, language fanatic, data science, art, gaming, niche-ster
🇺🇸/🇹🇼 Katılım Nisan 2021
330 Takip Edilen1.4K Takipçiler
大數師 MrMathster, Formosa Vacay on Mar 24 - Apr 21 retweetledi
大數師 MrMathster, Formosa Vacay on Mar 24 - Apr 21 retweetledi

#mathematics #puzzled #calculus #integral #數學 #수학 #数学 #matemáticas #積分 #적분 #挑戦 #advanced #上級 #高級
A speed run generalization before packing my stuff for the airport tomorrow. A nice Faa di Bruno application, leading to Lah numbers.
#775dcd" target="_blank" rel="nofollow noopener">overleaf.com/read/dgdspdcdw…




English
大數師 MrMathster, Formosa Vacay on Mar 24 - Apr 21 retweetledi

This is a special integral connected to one of the deepest symmetries in number theory. It brings together the Riemann zeta function at matching points and reflects the hidden balance behind its functional equation.
#Mathematics

English

@Diarytells Hint: For real values, use the definition
x mod x^3 = x - x^3 floor(1/x^2)
This integral makes an integral subclass of floor functions.
English

#math #mathematics #geometry #數學 #数学 #수학 #幾何 #기하
Certainly a long week of playing around with repos and APIs. Still not done yet as multiprocessing needs more time.
Note: This is based on the March 8, 2026 article I wrote.
Repo: github.com/MMathster/ETC-…


English
大數師 MrMathster, Formosa Vacay on Mar 24 - Apr 21 retweetledi

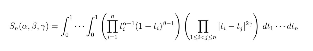
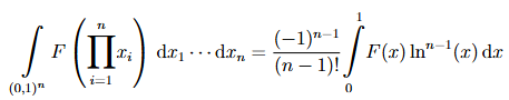
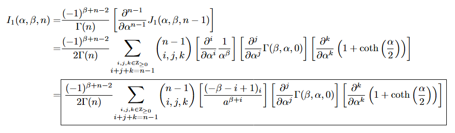
My short proof for the famous ' Selberg Integral' is based on a classical and elegant idea.
It is an important integral because it belongs to a famous family with deep connections across analysis, special functions, probability, and mathematical physics.
#MathsIsFun #Mathematics #weekend



English
大數師 MrMathster, Formosa Vacay on Mar 24 - Apr 21 retweetledi
大數師 MrMathster, Formosa Vacay on Mar 24 - Apr 21 retweetledi

#mathematics #calculus #integral #數學 #수학 #数学 #matemáticas #積分 #적분 #advanced #上級 #高級
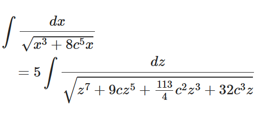
1+ week of integral portfolio for future STEM content development job after my vacation. Inspired by my November 2025 work.
#94d213" target="_blank" rel="nofollow noopener">overleaf.com/read/drpgtbkbs…
#e3326e" target="_blank" rel="nofollow noopener">overleaf.com/read/sdwtdvxyr…




English

@charrlie3045 @SrinivasR1729 Natural is subjective. I was just saying there are several methods. It was interesting to see the theta approach!
English

@MMathster @SrinivasR1729 Nice i agree with @SrinivasR1729 using theta functions would be natural approach if you want to "brute force" a solution
Would love to see your solution tho ❤️ 🙌
English
大數師 MrMathster, Formosa Vacay on Mar 24 - Apr 21 retweetledi
大數師 MrMathster, Formosa Vacay on Mar 24 - Apr 21 retweetledi
大數師 MrMathster, Formosa Vacay on Mar 24 - Apr 21 retweetledi

@SrinivasR1729 @charrlie3045 Nice technique
Elliptic integral is one. Another is contour integration, which follows beautifully from products and trig + hyperbolic sums.
English
大數師 MrMathster, Formosa Vacay on Mar 24 - Apr 21 retweetledi

















