Niagara Falls Police
92 posts

Niagara Falls Police
@NiagaraFallsPD
Official Twitter of the Niagara Falls (NY) Police Department. 1925 Main St., Niagara Falls, NY. In an emergency, call 911. Non-emergency, 716-286-4711
Niagara Falls, NY Katılım Ağustos 2017
58 Takip Edilen2K Takipçiler

With the weather starting to get nicer, we please urge you to practice #SocialDistanacing. This only works if we all do this together. We can make an impact in limiting the rise of new #Covid19 cases if we all work together. PLEASE DO NOT GATHER IN CROWDS OF 10 OR MORE PEOPLE.

English

To all of our men & women who are our police, fire, dispatch, & EMS first responders – we thank you, & appreciate you for the sacrifices you make in order to keep us safe. #FirstRespondersDay

English

Due to anticipated rain in the forecast, we’ve decided to RESCHEDULE this week’s #NFPDSlowRoll. ☔️ 🚲NEW DATE is Thursday, June 27th! 5:00 PM start.

English

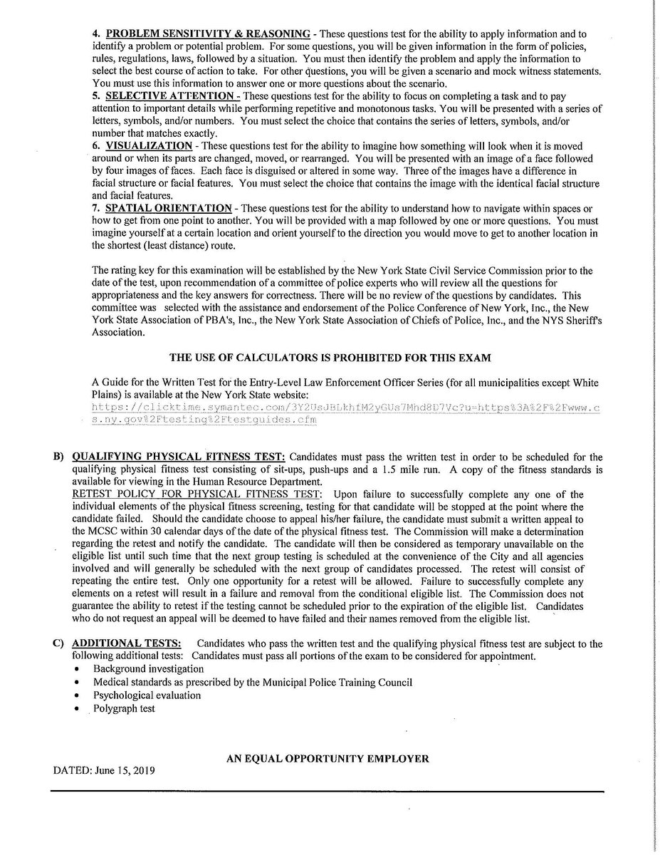
‼️ City of Niagara Falls Police Officer exam announcement has been released! The first day for filing is TODAY, June 17th! ‼️#policeexam #nfpd




English


Get your bikes ready for next Thursday's #NFPDSlowRoll happening at Hyde Park at 5PM! Flash, our local hero bloodhound, will be there for a meet & greet and paw shaking. Go to our FB page for more details!

English

Please join us for our next #NFPDSlowRoll on June 20th! The ride starts at 5PM. Meet us at the Hyde Park-Pine Ave entrance, & stick around for some refreshments & conversations after the ride. See you there!

English

Some great moments captured in these photos of the Bike Rodeo event at Niagara Street! Great job to all the riders!
RobShots@RobShots_
@NiagaraFallsPD Community Relations continued their bike rodeo event with a visit to Niagara Street School this afternoon. Click link for more photos m.facebook.com/story.php?stor…
English

@NiagaraFallsPD Community Relations continued their bike rodeo event with a visit to Niagara Street School this afternoon. Click link for more photos m.facebook.com/story.php?stor…




English

Looks like the rain is going to clear by by the time we start the ride at 3PM! Please join us for the #NFPDSlowRoll! We're meeting up at the City Market to start the ride.

English





