Richard Garwe 🇿🇼

39.2K posts

Richard Garwe 🇿🇼 banner
Richard Garwe 🇿🇼

Richard Garwe 🇿🇼

@RichardGarwe

Am a #Zimbabwe Political Analyst, "#Zimbabwes Political Inner Eye". My opinions are my own! I am not a neutral! Simpu!

Harare, Zimbabwe Katılım Ocak 2019
667 Takip Edilen8.2K Takipçiler
Sabitlenmiş Tweet
Richard Garwe 🇿🇼
Richard Garwe 🇿🇼@RichardGarwe·
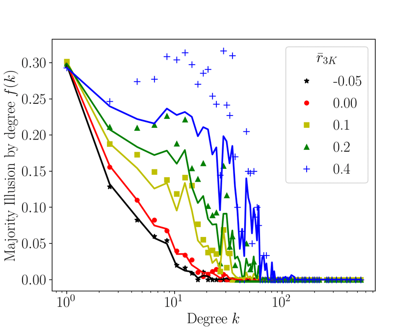
The “Majority Illusion” happens when a vocal fringe posts so often they colonize your feed, tricking your brain into thinking a tiny group represents the whole. The loudest voices in the room are rarely the most representative—just the most persistent. 🗣️📉 #CognitiveBias
Richard Garwe 🇿🇼 tweet media
English
0
0
0
7
Bla B
Bla B@bla_bidza·
Sanyeberwe, most African countries are receiving these ambulances in batches under the Japanese aid assistance, UNDP and WHO. Since 2024, Zambia has been receiving them and distributing them through the Constituency Development Fund.
Bla B tweet mediaBla B tweet media
English
5
8
25
2.3K
Richard Garwe 🇿🇼
Richard Garwe 🇿🇼@RichardGarwe·
Heee DON'T give people cars, what about the hospitals? Ok, but these are not patient transport but ambulances!!!
Richard Garwe 🇿🇼 tweet media
English
0
0
0
20
Ndues boy
Ndues boy@ndues_boy·
If you cant stand upright in it its not an ambulance its patient transport can you do CPR inside those cruisers ?
Ndues boy tweet media
sir_wicknell.@wicknellchivayo

HEALTHCARE DEVELOPMENT IN SUPPORT OF VISION 2030…✊🏽✊🏽✊🏽🇿🇼🇿🇼🇿🇼 Following the SUCCESSFUL delivery and distribution of 10 ambulances that i donated across the Country in November last year, I am pleased to announce the delivery of an additional 10 STATE-OF-THE-ART ambulances, out of my pledge i made to deliver 20 more. This is a HUMBLING contribution in support of the visionary leadership of H.E. President E.D. Mnangagwa and Government’s healthcare aspirations under VISION 2030, where QUALITY, ACCESSIBLE and MODERN HEALTHCARE is central to achieving an UPPER MIDDLE-INCOME ECONOMY. Contrary to the persistent criticism from certain FAILED opposition politicians, particularly that low-life FEMALE LAWYER who has made it her mission to question EVERYTHING while contributing ABSOLUTELY NOTHING to the development of our Country, we DELIVER. These are individuals who are PERPETUALLY demanding for “new leaders,” yet they themselves have FAILED to demonstrate even the most BASIC capacity to deliver tangible outcomes for the people. As the elite business community, we fully appreciate that SUSTAINABLE DEVELOPMENT requires CONTINUITY and STABILITY. It is for this reason that we UNEQUIVOCALLY SUPPORT initiatives that safeguard NATIONAL PROGRESS, particularly Constitutional Amendment Bill No. 3, which ensures that key programmes initiated under the Second Republic are COMPLETED by 2030. Zimbabwe is on a CLEAR TRAJECTORY of economic stabilisation and infrastructure development that demands CONTINUITY. Development is a PROCESS, not an event, and serious Nations jealously PROTECT and support such a process. To further ensure that this donation delivers MAXIMUM IMPACT, the full complement of the 20 ambulances will be deployed across the country’s 10 provincial hospitals, as guided and approved by the PRINCIPAL and the Ministry of Health and Child Care, who are well versed with the areas of GREATEST NEED. In addition, this donation will come with 200,000 litres of diesel, to ensure that EACH PROVINCE receives at least the equivalent of 20,000 litres to sustain operations and guarantee UTILISATION throughout the year. This is my HUMBLE way, as a responsible and PATRIOTIC citizen, of SUPPORTING the GOVERNMENT, SUPPORTING OUR PEOPLE and ADVANCING VISION 2030 under the able leadership of His Excellency, the President 🐊🐊🐊 A HEALTHY NATION is a WEALTHY NATION !!! #Vision_2030 #ED_Huchi 🐊🐊🐊 #Second_Republic #EDelivers✊🏽✊🏽✊🏽

English
18
13
79
8K
Bla B
Bla B@bla_bidza·
This profile that purports to be that of the President of Zimbabwe describes Wicknell Chivayo as "an astute and maverick young businessman" who donated ambulances. But what we know is that these ambulances are part of Japan's Grant Assistance for Grassroots Human Security Projects (GGP) in partnerships with UN Agencies and the WHO. All African governments are receiving them under an aid programme.
President of Zimbabwe@edmnangagwa

This morning at State House, I had the distinct pleasure of receiving a generous donation of 10 brand new, state-of-the-art ambulances equipped with the latest medical technologies including respirators, oxygen delivery systems, defibrillators and advanced patient monitoring units. These ambulances were formally handed over to the Minister of Health and Child Care for onward distribution across all Provinces to strengthen emergency response capacity and improve access to critical healthcare services. In addition, I handover 200,000 litres of diesel, which will directly support the effective deployment and sustained operation of these life-saving units. This donation has been made possible through the generosity of an astute and maverick young businessman @wicknellchivayo who has a golden heart and continues to tirelessly support various key Government programmes under Vision 2030, which is anchored on modern healthcare systems that leave “No one and No place behind”. I extend my sincere appreciation to @wicknellchivayo for this gesture, which exemplifies the critical role of the private sector in complementing Government’s efforts to deliver quality service delivery in the health sector. Such partnerships between Government and indigenous businesses reaffirm my administration’s matra that “Nyika inovakwa nevene vayo”, and I urge other businesspeople within the private sector to emulate this gesture and exemplary conduct. My Administration remains resolute in its focus on strengthening the healthcare system and ensuring that Zimbabwe transitions to world-class health standards as we advance towards an upper middle-income economy by 2030.

English
24
26
98
13.2K
zándā tōto
zándā tōto@zandatoto·
CDF is a non-partisan platform defending constitutional rights, democracy and rule of law in Zimbabwe. Comms team could be walking a thin line. Consider sharpening discipline to keep the messaging strictly non-partisan. Defending constitutionalism must invite allies wherever they are found, including within ZANU-PF, rather than signalling partisan alignment.
Freeman@freemanchari

2030 neMadofo Kwete!!!!! wa.me/13057910002?te…

English
2
4
25
14.4K
Richard Garwe 🇿🇼
Richard Garwe 🇿🇼@RichardGarwe·
Kuhura kunoita vanhu ava!!! BUT I support their fight for better salaries!
Richard Garwe 🇿🇼 tweet media
English
0
0
0
55
Richard Garwe 🇿🇼
Richard Garwe 🇿🇼@RichardGarwe·
necessarily be LOGICAL or FACTUAL. Its by definition what people WANT! I think the legal and logical arguments being argued for the 2030 extension are NONSENSICAL BUT I WANT 2030 because I WANT IT!! Trying to impose LOGIC for a POLITICAL outcome is STUPID! 2/2
English
0
0
0
12
Richard Garwe 🇿🇼
Richard Garwe 🇿🇼@RichardGarwe·
#Zimbabweans MUST UNDERSTAND that the changing of a CONSTITUTION does not necessarily start from the amendment being LEGAL under the current LAW. It must also be understood that it starts from what PEOPLE WANT. In POLITICS just like in RELIGION, what people want should not 1/2
Richard Garwe 🇿🇼 tweet media
Bla B@bla_bidza

There are three types of people supporting CAB3. 1. Those who are eating or have relatives or friends eating on their behalf. 2. Those lobbying to eat, and 3. Those of very low IQ.

English
1
0
0
38
adah
adah@adahstwt·
hey devs, do you know any alternative of Postman... really fed up with this
adah tweet media
English
217
2
179
21.3K
Richard Garwe 🇿🇼
Richard Garwe 🇿🇼@RichardGarwe·
@matigary This guy got spooked by the markets which tumbled when Iran said they will fight back. The plan to get the remaining leadership into the open on the pretense of TALKS will not work this time. He is cooked.
English
0
0
1
48
Richard Garwe 🇿🇼
Richard Garwe 🇿🇼@RichardGarwe·
Leonid Radvinsky, the reclusive billionaire owner of adult content platform OnlyFans, has died of cancer. He was 43.
Richard Garwe 🇿🇼 tweet media
English
0
0
0
55
Richard Garwe 🇿🇼
Richard Garwe 🇿🇼@RichardGarwe·
With the H1B1 visa fiasco playing out in the US, Germany is not waiting. #Zimbabweans should also look into taping into this rising opportunity!! I still wonder why we don't outsource call centers and IT backend services? bbc.com/news/articles/…
English
0
1
0
41
Richard Garwe 🇿🇼 retweetledi
mmatigari
mmatigari@matigary·
Yes that’s the point of cutting back on taxes. What’s the point of increasing government revenue when many end up with no money at all to survive? You realise anyone who works outside the Hre CDB and has to catch a limbo to work needs at least $4 each way or at least at the very least $8 a day to commute, including civil servants, soldiers police etc? Should we let them bleed like that or fail to go to work for the sake of government revenue? 😳
English
5
4
44
2.9K