Simone Di Gennaro
46 posts

Simone Di Gennaro
@SimoDrDige
MSc in Sport Science, PhD student in Sport and Excercise Science, University of Genoa
Genoa, Italy Katılım Mart 2022
65 Takip Edilen18 Takipçiler

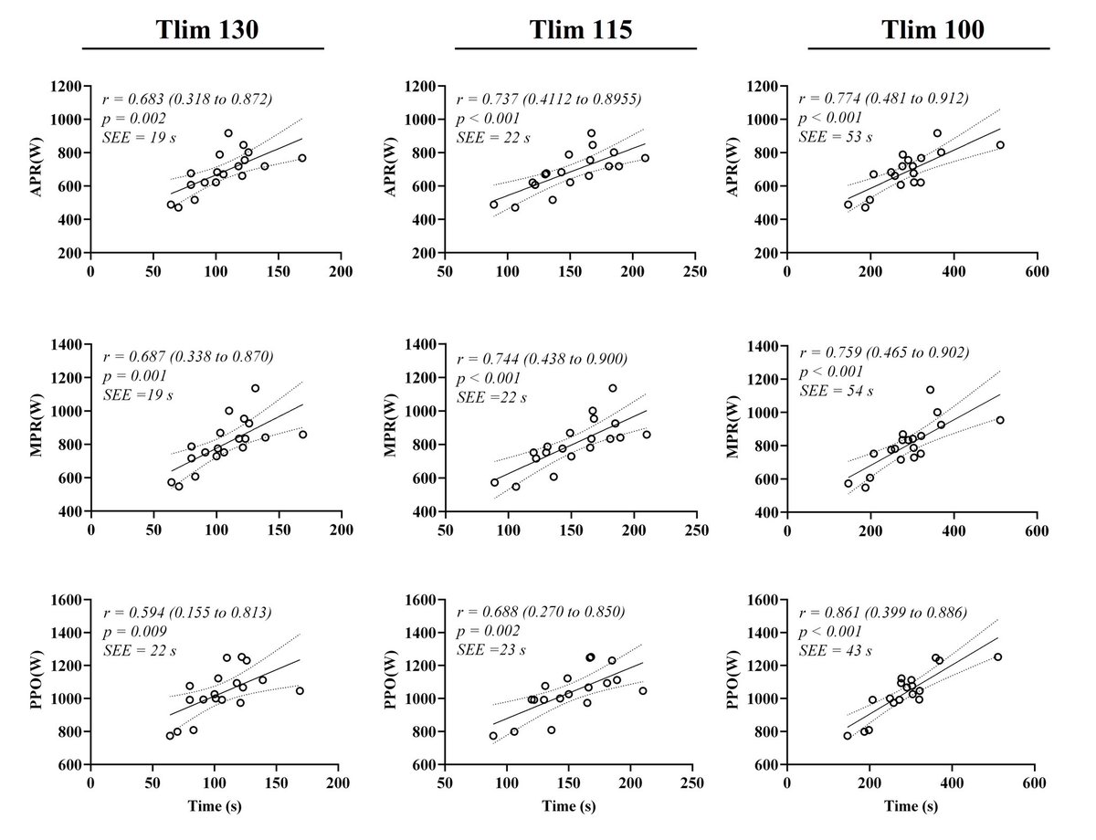
Our last study about the Anaerobic power reserve and its relationships with exercise tolerance and anaerobic marker!
cdnsciencepub.com/doi/10.1139/ap…
English

If you want to have a look, here the link :)
researchgate.net/publication/39…
English

This was one of my first data collections during my PhD. We evaluated whether using APR as a method of intensity prescription could help reduce variability in physiological responses during HIIT.
Happy to see it finally out 🫶🏻
#cycling


English
Simone Di Gennaro retweetledi

A new one on the effect of incorporating HIIT in traditional low intensity rowing training in adolescents!
Just give a look,
Less training time
The same or superior results!
Kudos to @Marcopana87 and @LucaFilipas
@IJSPPjournal

English
Simone Di Gennaro retweetledi
Simone Di Gennaro retweetledi

📌Statistical vs. Clinical Significance
📝 Be careful to consider p-value as the Holy Grail
#Statistics

English
Simone Di Gennaro retweetledi

Standing on the Shoulders of Giants: Essential Papers in Sports and Exercise Physiology doi.org/10.1123/ijspp.…
English

almost at the end of the data collection on the factors determining the anaerobic power reserve in cyclists🚵🏼♀️🚵🏼♀️ #cycling

English
Simone Di Gennaro retweetledi
Simone Di Gennaro retweetledi

XC skiing beats cycling (in downloads...). We showed that elite skiers have superior ability to "recharge" their battery during intermittent work intervals. I find this interesting from a training perspective. Endurance is sport spesific, but how to do it? Open access article👇
Int'l Journal of Sports Physiology and Performance@IJSPPjournal
🏆Top 3 - Most downloaded full text articles -Nov 2023 1.Holsbrekken et al. – journals.humankinetics.com/view/journals/… 2. Gallo et al - journals.humankinetics.com/view/journals/… 3.Valenzuela et al. – journals.humankinetics.com/view/journals/… @LosnegardThomas @LucaFilipas @mmateo_march @pl_valenzuela
English
Simone Di Gennaro retweetledi

Thursday read in #JAPPL #ArticlesInPress
Scientific Writing in Physiology: Confused/Misused Terms and Phrases
Hirofumi Tanaka and Douglas R. Seals
ow.ly/COUZ50Qn77z

English

Some insights into the anaerobic power reserve model in cycling last week in Naples.@SISMESsocial




English

@Alice_Maggio_ @SISMESsocial @chiara_felles @LucaFilipas @MatteoBonatoPhD So much stuff @Alice_Maggio_ !
English
Simone Di Gennaro retweetledi

Happy to share some pictures from the previous days!
First conference’s oral presentation for me and high quality presentation listened from colleagues at @SISMESsocial 2023! Always nice to catch up 😊
👇🏻 @SISMESsocial @SimoDrDige @chiara_felles @LucaFilipas @MatteoBonatoPhD




Napoli, Campania 🇮🇹 English

Sex-related differences in profiles of muscle oxygen saturation of different muscles in trained cyclists during graded cycling exercise | Journal of Applied Physiology journals.physiology.org/doi/abs/10.115…
English







