Sabitlenmiş Tweet
Alexis Poitrasson-Rivière
17 posts

Alexis Poitrasson-Rivière
@alexispvpr
IM ME, I DO RESEARCH, AND I CHILL.
Ann Arbor, MI Katılım Ekim 2021
28 Takip Edilen15 Takipçiler
Alexis Poitrasson-Rivière retweetledi
Alexis Poitrasson-Rivière retweetledi

Automated segmentation of cardiac inflammatory #ThinkPET studies using #AI significantly improves clinical workflow @alexispvpr @venkmurthy @umichmedicine.
Read now👉bit.ly/407S7hh
#cvnuc

English
Alexis Poitrasson-Rivière retweetledi
Alexis Poitrasson-Rivière retweetledi

RT @venkmurthy: Latest preprint from our group using DL to process cardiac sarcoid PET to improve visualization and quantification
We did…
English

#NewPaperAlert: New Preprint on medRxiv about automated segmentation of cardiac inflammatory #ThinkPET studies using a 3D-UNET (medrxiv.org/content/10.110…).
A promising application of DL segmentation to improve clinical workflow.
@venkmurthy @almallahmo @rlweinberg @PanithayaC
English
Alexis Poitrasson-Rivière retweetledi

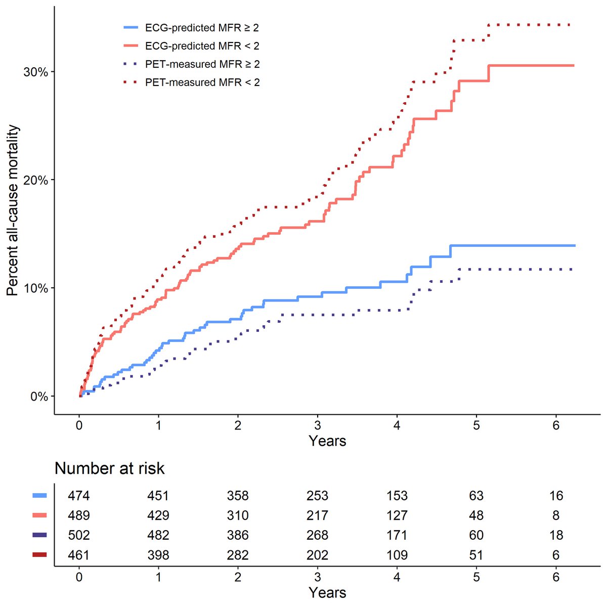
Coronary/myocardial flow reserve is powerful measure of CAD & essential for dx of ANOCA/INOCA but is difficult to obtain, requiring invasive studies or PET
Now possible using stress EKG data!
Deep learning derived in 3887 pts w/ PET. Validated in 963 PET pts & 5102 SPECT pts
medrxiv.org/content/10.110…
@umichCVC @UMichRadiology @UMichResearch @MyASNC @almallahmo @alexispvpr



English

#NewPaperAlert(twofer edition):
Two new papers in @EANM_NucMed EJNMMI on a novel method for looking at #ThinkPET MBF and MFR. Check out the full papers here:
rdcu.be/dnFA5
rdcu.be/dn9Le
@venkmurthy @almallahmo @rlweinberg @bnallamo
English
Alexis Poitrasson-Rivière retweetledi
Alexis Poitrasson-Rivière retweetledi
Spline fitting reconstruction improves accuracy and test/re-test reproducibility of MFR quantification with 99mTc-sestamibi CZT SPECT ahajournals.org/doi/abs/10.116… #AHAJournals @BWHCVImaging @anachsouza @mdicarli @premsoman123 @VTaqMD @alexispvpr @AllisonGHaysMD @cshenoy3

English

#NewPaperAlert:
Deep-Learning can replicate the performance of CT-Attenuation-Corrected polar maps: link.springer.com/article/10.100…
@venkmurthy @almallahmo @edwardmillermd @RupaSanghaniMD
English

#NewPaperAlert:
Cool brief report on residual subtraction for #ThinkPET MBF with 18F-FPZ and 13N-NH3: link.springer.com/article/10.100…
Spoiler alert: residual subtraction is necessary for accurate #CardiacPET quantifications with interscan delays under 4 half-lives (same-dose injections)
English
Alexis Poitrasson-Rivière retweetledi

#JournalNC What is the impact of number of iterations and TOF on 82Rb #ThinkPET perfusion and MBF distributions?
Learn more here👉bit.ly/3l7J4XW
#CVNuc @MyASNC @umichCVC @UMichRadiology @venkmurthy

English
Alexis Poitrasson-Rivière retweetledi

#JournalNC How precise is MFR estimation using CZT #SPECT and 99mTc-tracers?
Learn more here👉bit.ly/3Aos9GQ
#CVNuc @MyASNC


English










